2004年房地产估价师考试《房地产开发经营与管理》参考答案
一、单项选择题
1.C 2.B 3.B 4.B 5.C
6.C 7.B 8.B 9.A 10.B
11.C 12.D 13.D 14.C 15.A
16.D 17.A 18.A 19.A 20.C
21.C 22.D 23.A 24.B 25.B
26.C 27.C 28.D 29.B 30.A
31.A 32.D 33.B 34.D 35.D
二、多项选择题
1.ACDE 2.ABCD 3.AB 4.ACE 5.AB
6.ABD 7.ACE 8.ABD 9.BDE 10.ABCD
11.BCDE 12.BCE 13.BC 14.ACD 15.ACDE
三、判断题
1.× 2.√ 3.× 4.× 5.√
6.√ 7.√ 8.× 9.√ 10.×
11.√ 12.× 13.× 14.√ 15.×
四、计算题
1.第一种解法:
已知:i=6% i'=6%/12=0.5% s=0.2%
n=15×12=180 m=5×12=60
(1)抵押贷款额P=50×60%=30万元
(2)张某月还款额

第二种解法:已知:P=50×60%=30万元
i=6%/12=0.5%
n=15×12=180
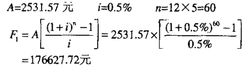
(1)张某月还款额:A=P[i(1+i)n/(1+i)n-1]=300000×[0.5%×(1+0.5%)180/(1+0.5%)180-1] =2531.57
(2)张某5年共还款:

(3)2005年1月1日李某共欠银行款额:
F2=p(1+i)n =300000×(1+0.5%)60 =404655.06元
F3=F2-F1=228027.34元
(4)略(同原答案)
第三种解法:
已知:P=50×60%=30万元
i=6%/12=0.5%
n=15×12=180
(1)张某月还额:A=P[i(1+i)n]/[(1+i)n-1]=300000×[0.5%×(1+0.5%)180/(1+0.5%)180-1] =2531.57
(2)张某5年共还款额:A=2531.57元 i=0.5% n=12×5=60

(3)张某拭欠银行贷款额:P2=(300000-P1)=169053.12元F1=169053.12×(1+0.5%)60=228027.33元
(4)略(同原答案)
2.第一种解法:
(1)借款需要量的计算见下表。
| 年份内容 |
1 |
2 |
合计 |
|
建设投资 |
1000 |
800 |
1800 |
|
资本金 |
400 |
230 |
630 |
|
银行借款 |
600 |
570 |
|
(2)借款还本付息表见下表。
| 年份内容 |
1 |
2 |
3 |
4 |
5 |
合 计 |
|
年初借款累计 |
0 |
630 |
1291.5 |
861.0 |
430.5 |
|
|
当年借款 |
600 |
570 |
|
|
|
1170 |
|
当年应计利息 |
30 |
91.5 |
|
|
|
121.5 |
|
当年还本 |
|
|
430.5 |
430.5 |
430.5 |
|
|
当年利息支付 |
|
|
129.15 |
86.10 |
43.05 |
|
|
年末借款累计 |
630 |
1291.5 |
861.0 |
4305 |
0 |
|
当年利息=[年初借款累计+当年借款/2]×年利率

各年还本=1291.5/3=430.5
(3)资本金现金流量表(税前)见下表。
| 年份内容 |
0 |
1 |
2 |
3 |
4 |
5 |
6~20 |
|
1.现金流 |
|
|
|
|
|
|
|
|
租金收入 |
|
|
|
2000 |
2500 |
2500 |
2500 |
|
2.现金流出 |
|
|
|
|
|
|
|
|
资本金 |
|
400 |
230 |
|
|
|
|
|
经营成本 |
|
|
|
600 |
650 |
650 |
650 |
|
经营税金 |
|
|
|
130 |
150 |
150 |
150 |
|
本金偿还 |
|
|
|
430.5 |
430.5 |
430.5 |
|
|
利息支付 |
|
|
|
129.15 |
86.10 |
43.05 |
|
|
3.净现金流量 |
0 |
-400 |
-230 |
710.35 |
1183.4 |
1226.45 |
1700 |
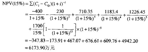
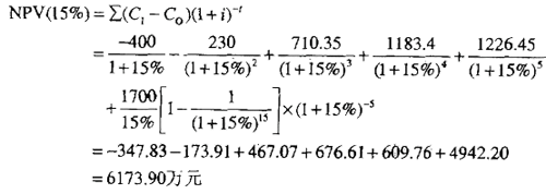
(4)净现值:

第二种解法:
(1)第1年银行借款1000-400=600万元
第2年银行借款800-230=570万元
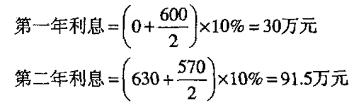
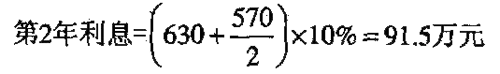
(2)第1年利息(600/2)×10%=30万元

各年还本=(600+30+570+91.5)/3=430.5万元
第3年利息=(600+30+570+91.5)×10%=129.15万元
第4年利息=(1291.5-30.5)× 10%=86.10万元
第5年利息=(861-430.5)× 10%=43.05万元
(3)资本金现金流量表(税前)见下表。
单位:万元
| 年份内容 | 0 | 1 | 2 | 3 | 4 | 5 | 6~200 |
|
1.现金流入 |
|
|
|
|
|
|
|
|
租金收入 |
|
|
|
2000 |
2500 |
2500 |
2500 |
|
2.现金流出 |
|
|
|
|
|
|
|
|
资本金 |
|
400 |
230 |
|
|
|
|
|
经营成本 |
|
|
|
600 |
650 |
650 |
650 |
|
经营税金 |
|
|
|
130 |
150 |
150 |
150 |
|
本金偿还 |
|
|
|
430.5 |
430.5 |
430.5 |
|
|
利息支村 |
|
|
|
129.15 |
86.10 |
43.05 |
|
|
3.净现金流量 |
0 |
-400 |
-230 |
710.35 |
1183.4 |
1226.45 |
1700 |
(4)净现值:

最新资讯
- 2025年房地产估价师四科真题及解析2025-11-13
- 房地产估价师2025年真题及答案更新:四科2025-11-13
- 2025年房地产估价师考试试卷真题及答案(房估实务+土估实务)2025-11-12
- 2025年房地产估价师考试试卷真题答案(4科目全)2025-11-12
- 2025年房地产估价师考试真题与答案解析:各个科目汇总2025-11-12
- 2025年房地产估价师真题答案解析:法规政策2025-11-11
- 2025年房地产估价师考试试卷真题答案解析:房地产估价原理与方法2025-11-11
- 2025房地产估价师真题答案更新:房地产估价基础与实务2025-11-11
- 2025年房地产估价师真题及答案解析:土地估价基础与实务2025-11-11
- 有更新!2025年房地产估价师《房地产估价基础与实务》真题答案解析2025-11-10