2012年一级建造师水利水电正版考试用书增值服务第二次
“全国一级建造师执业资格考试用书(第三版)”
《水利水电工程管理与实务》
2012年网上增值服务(2)
1.什么是水力学?
答:水力学是研究以水为代表的液体的宏观机械运动规律,及其在工程技术中的应用。水力学包括水静力学和水动力学。
2.水压力计算公式需要掌握吗?
答:水压力计算公式是水利水电专业人士应当掌握的基本公式。
2011年版新增加了枢纽建筑物不同运用条件下,静水压力的计算水位的确定。
3.大坝坝基同一高程的每一点所受到的扬压力是一样的吗?
答:扬压力不一样,扬压力是浮托力和渗透压力两者之和,渗透压力是变化的,但浮托力不变。
4.怎样记住扬压力分布图?
答:扬压力有两部分组成,一部分是浮托力,其分布图为矩形,与下游水位有关。另一部分是渗透压力,其分布图为四边形,与上下游的水位差有关。两图叠加即为扬压力图。
5.堤防堤身的渗透系数与堤防的挡水高度有关吗?
答:无关。渗透系数是堤身填筑土料固有的特性。
6.考试需要绘制流网吗?
答:精确绘制流网需要时间较多。根据以往的考试情况,画示意图需要时间不多。
7.什么是渗流?
答:流体通过多孔介质的流动称为渗流。
8.渗透破坏的主要原因是什么?
答:渗透破坏的主要原因是管涌、流土、接触冲刷、接触管涌或接触流土。这些也是水工建筑物遭到破坏的主要原因,需要会分析和掌握它们之间的区别。
9.水流形态方面如何学习掌握?
答:水流形态方面应当学会如何区分恒定流与非恒定流、均匀流与非均匀流、渐变流与急变流、层流与紊流。尤其学会在工程实际中如何区分。第三版对上述流态的描述增加了具体图形,有利于理解,也有利于考试出题。
10.工程实际中常见的水流形态是什么?
答:常见的水流形态是非恒定流、非均匀流和紊流。为了计算的方便,在设置必要的边界条件后,往往按恒定流与均匀流进行工程计算和设计。
12.为何水利工程要进行消能设计?
答:当水体的高程位置由高处转至低处时,水体原有的“位能”就转化为“动能”,动能对下游河道有冲刷作用,为了使冲刷控制在不危害工程安全范围内,需要进行工程的消能设计。
如果您在此过程中遇到任何疑问,请登录环球网校一级建造师考试论坛,随时与广大考生朋友们一起交流!
编辑推荐:
13.消能方式如何区分?
答:应当通过掌握绘图区分各种消能形式。
14.水闸常用的消能方式是什么?
答:水闸常用的消能方式是底流消能。
15.什么是护坦?
答:闸、坝下游消力池的底板,称为护坦。一般用混凝土或浆砌石做成,它是用来保护消能时水跃范围内的河床免受危害性冲刷。
16.1F411023掌握水利水电工程建筑材料的应用,内容较多,如何把握重点?
答:从时间和精力安排顺序来说,水泥以及混凝土和钢材的有关性能指标更具有实用性,应当更重要一些。 混凝土外加剂的主要作用需要掌握。
17.土石坝的主要填筑材料有哪些要求?
答:土石坝的主要填筑材料是土料与石料,土料需要具有一定的抗渗性和强度,特别是抗渗性方面的渗透系数、黏料含量、有机质含量、易溶盐含量均有一定的限制。由于受土料来源的限制,为了节约工程造价,可以对坝体不同位置的土料提出不同的抗渗性和强度。石料的主要限制是不宜使用风化岩石。
18.水利工程对水泥的使用范围有哪些要求?
答:水利工程对水泥的使用范围是有要求的,可以见考试用书《水利水电工程管理与实务》1F411023掌握水利水电工程建筑材料的应用。
19.混凝土方面需要注意哪些?
答:从事水利水电工程建设管理,对于混凝土的性能和使用范围应当非常熟悉,可以见考试用书《水利水电工程管理与实务》1F411023掌握水利水电工程建筑材料的应用,有关性能指标的描述比较容易出题。
20.测量方面需要注意哪些?
答:测量部分主要有两方面的内容,即测量仪器的使用和水利水电工程施工测量的要求。对于有关测量仪器的标识(如水准仪的DS3)、分类、特点应当有所了解;工程管理人员应当掌握施工测量的基础知识、施工放样的具体要求、施工期间的外部变形监测以及竣工测量、测量误差的分类和处理等。
21.工程地质与水文地质勘察工作程序与水利工程建设程序如何衔接?
答:勘察工作程序是按照设计工作的阶段进行划分,划分为规划阶段、可行性研究阶段、初步设计阶段、技施设计。其中,规划阶段可以对应建设程序中的项目建议书阶段,技施阶段对应施工准备阶段以及建设实施阶段的工作,参见考试用书《水利水电工程管理与实务》第136~140页。
23.勘察的基本方法有哪些?
答:勘察的基本方法中,施工中常用的是勘探与取样的基本方法,包括钻探、井探、槽探、洞探、地球物理勘探。
24.工程地质条件与水文地质条件主要区别有哪些?
答:通常地质条件包含水文地质条件。水利水电工程与其他土建工程的根本区别是工程与水密不可分,有水才有水利水电工程。从工程建设角度来说,水也是增加工程建设难度的一个最主要方面,特别是地下水。所以需要将水文地质特别加以强调。
25.水利水电工程常见地质问题有哪些?
答:水利水电工程常见地质问题包括坝基岩体、边坡、地下洞室围岩、水库及软土基坑等工程中诸如变形、渗漏、稳定及降排水等方面的问题,具体详见考试用书第13~15页。
26.水利工程项目与水电工程项目在设计阶段划分方面有何区别?
答:水利工程项目与水电工程项目根据其行业不同特点和习惯,在设计阶段划分方面有所不同,具体详见考试用书第40页。
27.什么是围堰闭气?
答:围堰的主要作用是防止水进入修建永久性水工建筑物的位置,便于建筑物施工。通常围堰施工完成后,需要采取进一步的措施,阻断渗流进入基坑,创造干地施工的条件,称之为围堰闭气。
如果您在此过程中遇到任何疑问,请登录环球网校一级建造师考试论坛,随时与广大考生朋友们一起交流!
编辑推荐:
28.施工工期紧,可以快速降低基坑水位吗?
答:快速是相对而言,排水方法得当,速度可以加快,否则欲速不达。方法得当的一个重要标准是防止因为排水造成基坑以及围堰边坡发生塌坡事故。
29.经纬仪后的数字07、1、2、6、10等具体表示什么?
答:数字表示的仪器精度。数字07、1、2、6和10表示该类仪器一测回方向观测中误差的秒数分别为0.7″、1″、2″、6″和10″。
30.什么是控制测量?
答:在测区内,按测量任务所要求的精度,测定一系列控制点的平面位置和高程,建立起测量控制网,作为各种测量的基础,这种测量工作称为控制测量。
包括:①平面控制测量,为测定控制点平面坐标而进行的;②高程控制测量,为测定控制点高程而进行的;③三维控制测量,为同时测定控制点平面坐标和高程或空间三维坐标而进行的。
31.什么是地形测量?
答:地形测量指的是测绘地形图的作业。即对地球表面的地物、地形在水平面上的投影位置和高程进行测定,并按一定比例缩小,用符号和注记绘制成地形图的工作。
32.什么是地籍测量?
答:地籍测量是指对土地及有关附属物的权属、位置、数量和利用现状所进行的测量。
33.什么是工程测量?
答:工程建设和资源开发的勘测设计、施工、竣工、变形观测和运营管理各阶段中进行的各种测量工作的总称。
34.什么是偏心测量?
答:所谓全站仪偏心测量就是反射棱镜不能安置在待测点的铅垂线上,而是安置在与待测点相关的某处,间接地测定待测点的位置。如当棱镜难以直接安置在树木的中心,烟囱、水池的中心等目标点上时,可使用全站仪偏心测量。
根据偏心测量的条件不同,目前全站仪偏心测量有四种常见方式:角度偏心测量、单距离偏心测量、圆柱偏心测量和双距离偏心测量。
① 角度偏心测量
如图1所示,全站仪安置在某一已知点A,并照准另一已知点B进行定向;然后,将偏心点C(棱镜)设置在待测点P的左侧(或右侧),并使其到测站点A的距离等于待测点P到测站点的距离;选择程序功能对偏心点进行测量;最后再照准待测点方向,仪器就会自动计算并显示待测点的坐标。

图1 角度偏心测量
显然,角度偏心测量适合于待测点与测站点通视,但其上无法安置反射棱镜的情况。计算公式如下:

式中 S、α ―― 测站点A到偏心点C(棱镜)的斜距和竖直角;
xA、yA ―― 已知点A的坐标;
αAB ―― 已知边的坐标方位角;
β ―― 未知边AP与已知边AB的水平夹角,当未知边AP在已知边AB的右侧时,取“―β”。
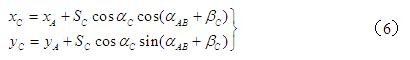
② 单距离偏心测量
如图2所示,待测点P与测站点A不通视。欲测定P点,将全站仪安置在已知点A,并照准另一已知点B进行定向;将反射棱镜设置在待测点P附近的一个适当位置C.选择程序功能后输入待测点P与偏心点C之间的距离d和CA与CP的水平夹角θ(偏心角),并对偏心点C进行观测,仪器就会自动显示待测点P 的坐标(xP,yP)或测站点到测点的距离D和方位角αAP.

图2 单距离偏心测量
显然,单距离偏心测量适合于待测点与测站点不通视的情况。计算公式如下:

式中 xC、yC ―― 偏心点C的坐标;
β ―― 边AC与已知边AB的水平夹角,当β和θ为右角时,式(4)取“-β”和“-θ”。
③ 圆柱偏心测量
圆柱偏心测量是单距离偏心测量的一个特殊情况,待测点P为某一圆柱形物体的圆心,如图3所示。观测时,全站仪安置在已知点A,并照准另一已知点 B进行定向;然后,将反射棱镜设置在圆柱体的一侧C点,且使AC与圆柱体相切;输入圆柱体的半径R,并对偏心点C进行观测,仪器就会自动计算并显示待测点的坐标(xP,yP)或测站点至待测点的距离D和方位角αAB.其计算公式与单距离偏心测量相同,只不过用R和90°代替d和θ。

如果您在此过程中遇到任何疑问,请登录环球网校一级建造师考试论坛,随时与广大考生朋友们一起交流!
编辑推荐:
图3 圆柱偏心测量
④ 双距离偏心测量
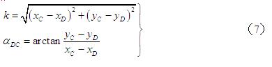
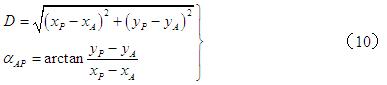
双距离偏心测量是利用专制的两点式棱镜(两棱镜的间距为一定值f,如SET500全站仪f为0.5m)方便有效地测定出隐藏点的点位。如图4所示,将全站仪安置在已知点A,并照准另一已知点B进行定向;然后将两点式棱镜对准待测点P(无须正交),分别测量D和C两点式棱镜并输入C点到待测点P的距离v(相当于棱镜高),仪器便可计算并显示待测点P的坐标(xP,yP)或测站点至P点的距离D和方位角αAP.

图4 双距离偏心测量
其具体计算公式为:
D点的坐标

C点的坐标

D、C间的平距k和方位角αAP

C、P间的平距d

P点的坐标

测站点到待测点的D和方位角αAP

式中 βC、βD ―― 边AC和AD与已知边AB的水平夹角,当未知边AC和AD在已知边AB的右侧时,式中取“-βC”和“-βD”。
如果您在此过程中遇到任何疑问,请登录环球网校一级建造师考试论坛,随时与广大考生朋友们一起交流!
编辑推荐:
35.什么悬高测量?
答:所谓悬高测量,就是测定悬空点或人员难以接触和到达的点的高度。
悬高测量的原理如图5所示,A为仪器站,可以选择合适位置任意安置;B为棱镜站;M为待测悬高点;B、M两点必须在同一铅垂线上。

图5 悬高测量原理示意图
根据图形的几何关系可以推出M点到地面的高度H和M的高程HM:

36.什么是对边测量?
对边测量是指间接地测定远处两测点间的斜距、平距和高差。
对边测量可以连续测量第1个目标点(即起始点)与第2个、第3个……目标点之间的斜距、平距和高差。其原理如图6所示。

图6 对边测量原理示意图
在与P1、P2通视的任一点P上安置全站仪,首先观测P至P1、P2的斜距S1、S2,竖直角α1、α2,以及PP1至PP2间的水平夹角β,然后可由余弦公式计算P1P2的平距D和高差h:

37.双面水准尺红面底部起始数字一般为4687mm或4787mm,起什么作用?
答:用双面水准尺法进行水准测量时,有前视尺与后视尺之分,一个测点要同时读取一根水准尺的黑面和红面刻划的读数(包括前视尺与后视尺),这样可以相互校核,避免误读。同时前视尺与后视尺红面底部起始数字一个为4687mm,另一个为4787mm,也是防止误读的一个手段。
38.什么是测站点?
答:所谓测站点,即光学经纬仪对中的地面标志点。
使用仪器之前,首先要把经纬仪安置在设置有地面标志的测站点上,且需经对中、整平后方能使用。对中的目的是使仪器的中心与测站点的标志中心处于同一铅垂线上。整平的目的是使仪器的竖轴竖直,同时使水平度盘处于水平位置。
39.什么是平距、高差和坐标增量?
① 平距为两点投影到水平面上后点位的的距离,如图7中点P1、P2的平距为D.
② 高差是两点间高程之差,如图7中点P1、P2的高差为h.
③ 坐标增量是坐标的增加值。

图7 平距、高差示意图
如果您在此过程中遇到任何疑问,请登录环球网校一级建造师考试论坛,随时与广大考生朋友们一起交流!
编辑推荐:
40.平面放样方法中,什么是极坐标法?
答:极坐标法应用了数学中的极坐标原理,以某一控制点为极点,通过该控制点的某已知方向为极轴,通过测设一个角度和一段距离来确定地面点的平面位置。此法适用于量距方便,且欲放样的点距离控制点较近的情况。若采用全站仪放样则不受这些限制。
41.平面放样方法中,什么是直角交会法?
答:直角交会法应用了数学中的直角坐标原理,以确定待定点在地面上的平面位置。当施工场地建有彼此垂直的主轴线或建筑方格网,而待测设点离控制网的边线较近且便于量距,就可以用直角交会法来测设待定点位。
42.平面放样方法中,什么是角度交会法?
答:角度交会法应用了前方交会法的原理,用经纬仪从两个(或两个以上)控制点分别测设出两个(或两个以上)已知水平角的方向,交会出待定点的地面位置。该法适用于待测设点离控制点较远或量距较困难的地方。
43.平面放样方法中,什么是距离交会法?
答:距离交会法,放样点位是根据测设的两段距离交会出地面点的平面位置。该法适用于测设点处于距控制点的距离不超过一个尺段长度,且便于量距的地方。施工时,细部点的测设常用该法。如采用全站仪则不受距离长度的限制。
44.地球曲率为多少?
答:地球曲率取地球半径(6371km)的倒数。
45.什么是水准仪的i角?
答:水准仪的视准轴与水准轴一般既不在同一平面内,也不相互平行,而是两条空间直线,亦即它们在垂直面上和水平面上的投影都是两条相交的直线。在水平面上投影的交角称为φ角误差,也叫交叉误差;在垂直面上投影的交角就是i角误差。
水准测量的基本原理是根据水平视线在水准标尺上的读数,从而求得各点间的高差,而水平视线的建立又是借助于水准器气泡居中来实现的。因此,水准仪视准轴与水准轴必须满足相互平行这一重要条件,当视准轴与水准轴不能保持相互平行的关系,则水准器气泡居中时,视准轴势必不水平,最后将影响观测高差的正确性。但是,视准轴与水准轴相互平行的关系是难以绝对保持的,而且在仪器使用过程中,这种相互平行的关系也还会发生变化。
46.什么是尺长方程式?
答:钢尺由于材料原因、刻划误差、长期使用的变形以及丈量时温度和拉力不同的影响,其实际长度往往不等于尺上所标注的长度(即名义长度),因此,丈量前应对钢尺进行检定。
经过检定的钢尺,其长度可用长度方程式表示,即

式中 lt ―― 钢尺在温度t时的实际长度;
l ―― 钢尺的名义长度;
Δl ―― 尺长改正数,即钢尺检定时的实际长度减去其名义长度;
α ―― 钢尺的膨胀系数;
t ―― 钢尺使用时的温度;
t0 ―― 钢尺检定时的温度。
47.什么是最或是值?
答:最或是值,即算术平均值或似真值。
如果您在此过程中遇到任何疑问,请登录环球网校一级建造师考试论坛,随时与广大考生朋友们一起交流!
编辑推荐:
最新资讯
- 2026年一级建造师考试要考英语?别信,假的2025-12-05
- 2026年一级建造师考试形式是什么?一文读懂所有细节!2025-12-02
- 2026年一级建造师考试哪科更难?如何备考?2025-12-01
- 假的!没有招募一级建造师考试阅卷老师!2025-11-27
- 一级建造师考完了,该继续增项还是考其他证书?深度解析2025-11-26
- 一级建造师证书能用多久?年龄限制全解析2025-11-26
- 50岁了还有没有必要考一级建造师?2025-11-24
- 一级建造师和二级建造师考试的区别有哪些?2025-11-24
- 2026年一级建造师考试增设科目?真相揭秘与备考建议2025-11-22
- 2026,抄底一建矿业!这个闷声发大财的专业,再不关注就晚了!2025-11-19