2013年一级建造师《工程经济》全真模拟测评(1)
1.某企业借贷资金8万元,偿还期为4年,年利率10%,按复利计算,有A、B、C、D四种还款方式,各还款方式中支付总金额最多的是( )。
A.每年年末偿还2万元本金和所欠利息
B.每年年末只偿还所欠利息,第4年年末一次还清本金
C.在4年中每年年末等额偿还
D.在第4年末一次还清本息
答案:D
解析:由于按复利计算,每年若有偿还,年末的本利和就会减少,下一年计息的本金减少。最后一年一次还清本息,每年均无偿还,其间各年累计利息要计算利息,即“利滚利”,因此支付总金额最多。
2.若设i=10%,现在的1000元等于5年末的( )元。
A.1610.5 B.1614.8 C.1629.9 D.1773.2
【答案】A
【试题解析】考点:已知现值求终值。
,P=1000元,i=0.1,n=5,代入公式:
3.在下列公式中,( )是计算年金终值系数的正确公式。
A.
B. 
C. 
D. 
【答案】B
【试题解析】考点:年金终值系数。
4.技术方案经济效果评价中,考察技术方案投资总获利能力和方案设计的合理性,应进行( )。
A.融资前分析
B.融资后分析
C.静态分析
D.动态分析
答案:A
5.若计息周期为季,利率为2%,则年名义利率为( )。
A.8% B.8.24% C.12% D.12.24%
【答案】A
【试题解析】考点:已知计息周期及计息周期利率,求年名义利率。年名义利率=计息周期利率*年计息次数=0.02*4=0.08
【考点来源】该考点来自教材的第一章《工程经济》的第一节1Z101013名义利率与有效利率的计算:一名义利率的计算,在教材第11页
6.如果项目没有足够资金支付利息,偿债风险很大,常常表现为利息备付率低于( )。
A.3
B.2
C.1.3
D.1
答案: D P30
7.利息备付率和偿债备付率是评价投资项目偿债能力的重要指标,对于正常经营的项目,利息备付率和偿债备付率应( )。
A均大于1 B分别大于1和2
C均大于2 D分别大于2和1
【答案】D
【试题解析】考点:利息备付率和偿债备付率的评价标准。利息备付率应该大于2,偿债备付率应该大于1.
8.与计算投资回收期无关的指标是( )。
A.项目寿命期 B.现金流入 C.现金流出 D.期初投资
【答案】A
【试题解析】考点:投资回收期的计算公式。从建设开始年算起,静态投资回收期
的计算公式:
其中:CI现金流入,CO现金流出。期初投资属于现金流出,对计算
有影响。而项目的寿命期对计算
没有影响。
9.盈亏平衡分析是将项目投产后的产销量作为不确定因素,通过计算企业或项目盈亏平衡点的产销量,分析判断不确定性因素对方案经济效果的影响程度,说明项目( )。
A.承担风险的能力
B.盈利的能力
C.财务生存的能力
D.偿债的能力
答案:A
10.常用的不确定性分析的方法有:盈亏平衡分析和( )法。?A.边际分析 B.敏感性分析?C.成本分析 D.德尔菲?
【答案】B
【试题解析】考点:不确定性分析的方法。常用的不确定分析方法有盈亏平衡分析和敏感性分析。
环球网校友情提示:如果您在此过程中遇到任何疑问,请登录环球网校一级建造师考试论坛,随时与广大考生朋友们一起交流!
编辑推荐:
11.某投资方案财务净现值为115.79万元,方案经济效果可行。现对该项目进行单因素敏感性分析,选取投资额、产品价格和经营成本三个不确定因素,令其在初始值的基础上按±10%、±20%的变化幅度变动,分别计算相应的财务净现值如下表。该项目对三个因素的敏感程度由高到低依次为( )。

A.投资额→产品价格→经营成本
B.产品价格→投资额→经营成本
C.投资额→经营成本→产品价格
D.产品价格→经营成本→投资额
答案:B
12.建设项目年设计生产能力为10万台,年固定成本为1200万元,产品单台销售价格为900元,单台产品可变成本为560元,单台产品销售税金及附加为120元。盈亏平衡点的产销量为 ( )台。A.45454 B.54545C.35294 D.15385【答案】B
【试题解析】考点:盈亏平衡产量的计算。
,根据题意:
=1200万元,
=900元,
=560元,
=120元,代入公式:
=54545台
13.流动资金是指为维持生产所占用的全部周转资金,它是( )。
A.现金与银行存款的总和 B.全部货币资金
C.流动资产与流动负债的差额 D.资产与负债的差额
【答案】C
【试题解析】考点:流动资金的概念。流动资金的估算基础是经营成本和商业信用等,它是流动资产与流动负债的差额。
14.教育费附加是地方收取的专项费用,以( )为税基乘以相应的税率计算。
A.营业额
B.营业税
C.增值税和营业税
D.增值税、营业税和消费税
答案:D
15. 某设备在使用过程中,由于外力作用造成精度降低,同时出现了更为先进的设备,造成了该设备价值的降低,可以判断该设备遭受了()。
A.第一种有形磨损和第一种无形磨损
B.第一种有形磨损和第二种无形磨损
C.第二种有形磨损和第一种无形磨损
D.第二种有形磨损和第二种无形磨损
【答案】B
【试题解析】设备在使用过程中,在外力的作用下实体产生的磨损、变形和损坏,称为第一种有形磨损,这种磨损的程度与使用强度和使用时间长度有关。第二种无形磨损是由于科学技术的进步,不断创新出结构更先进、性能更完善、效率更高、耗费原材料和能源更少的新型设备,使原有设备相对陈旧落后,其经济效益相对降低而发生贬值。第二种无形磨损的后果不仅是使原有设备价值降低,而且由于技术上更先进的新设备的发明和应用会使原有设备的使用价值局部或全部丧失,这就产生了是否用新设备代替现有陈旧落后设备的问题。
16.建设单位委托工程监理单位实施工程监理的费用属于( )
A建设管理费 B勘察设计费 C与未来企业运行有关的其他费用 D土地使用费
【答案】A
【试题解析】考点:工程建设其他费的组成。
17. 某设备目前价值3000元,预计残值500元,每年设备的劣化增量为200元,设备使用寿命7年,该设备的经济寿命为( )年。
A.4.12
B.5
C.5.71
D.6
【答案】B
【试题解析】设备的经济寿命N0=√2(P-LN)/λ,λ为设备的低劣化值。代入数据计算可得到。
18.某企业5年前投资6万元购买一台设备,目前账面价值为1.6万元,如现在出售这台设备可得到1万元,该设备还可使用8年,8年末的估计价值为0.1万元,则该设备的沉没成本为( )。
A.6万元
B.1万元
C.0.6万元
D.0.1万元
答案:C
19.价值工程涉及到价值、( )和寿命周期成本等三个基本要素。?
A.价格 B.成本?C.功能 D.费用
【答案】C
【试题解析】考点:价值工程的特点。由价值工程的概念可知,价值工程涉及价值、功能和寿命周期成本等三个基本要素。
20.方案评价包括概略评价和详细评价两个阶段。其评价内容和步骤都包括有( )、经济评价、社会评价以及综合评价。
A.市场评价 B.功能评价 C.技术评价 D.服务评价
【答案】C
【试题解析】考点:价值工程方案评价包括的内容。方案评价不论概略评价和详细评价都包括技术评价、经济评价、社会评价和环境评价四方面。
环球网校友情提示:如果您在此过程中遇到任何疑问,请登录环球网校一级建造师考试论坛,随时与广大考生朋友们一起交流!
编辑推荐:
21. 会计核算处理中,我国有关文件规定企业应当以()为基础进行会计确认。
A.收付实现制
B.权责发生制
C.历史成本
D.重置成本
【答案】B
【试题解析】会计核算处理中,我国有关文件规定企业应当以权责发生制为基础进行会计确认。
22.某企业欲形成年产量1000万件生产能力,计划引进生产线。现有两个生产线方案可选,若引进甲生产线,其固定成本为400万元,单位产品可变成本为0.6元;若引进乙生产线,其固定成本为500万元,单位产品可变成本为0.4元,则企业的决策是( )。
A.应该引进甲生产线
B.应该引进乙生产线
C.甲乙生产线都不引进
D.无法判断应该引进哪一条生产线
答案:B
解析:甲生产线成本:400+1000*0.6=1000
乙生产线成本:500+1000*0.4=900
应该引进乙生产线
23.按照我国的基本建设程序,承包人与发包人签订合同同时形成的价格称为( )
A结算价 B投资估算 C竣工结算价 D合同价
【答案】D
【试题解析】考点:工程估价在建设各阶段的名称。按照我国的基本建设程序,在项目建议书及可行性研究阶段,对建设工程项目投资所做的测算称之为“投资估算”;在初步设计、技术设计阶段,对建设工程项目投资所做的测算称之为“设计概算”;在施工图设计阶段,称之为“施工图预算”;在投标阶段,称之为“投标报价”;承包人与发包人签订合同时形成的价格称之为“合同价”;在合同实施阶段,承包人与发包人结算工程价款时形成的价格称之为“结算价”;工程竣工验收后,实际的工程造价称之为“竣工决算价”。
24. 投资过程中由于国外投资方以外币投入造成的外币折算差额应计入()。
A.资本溢价
B.实收资本
C.盈余公积
D.资本公积
【答案】D
【试题解析】资本公积:指由投资者投入但不构成实收资本,或从其他非收益来源取得,由全体所有者共同享有的资金。包括资本溢价、资产评估增值、接受捐赠、外币折算差额等。
25. 按照财政部、建设部印发的《建设工程价款结算暂行办法》(财建[2004] 369号)的规定
在具备施工条件的前提下,发包人应在双方签订合同后的一个月内或约定的开工日期前的( )天内预付工程款。
A.7 B.14
C.28 D.30
【答案】A
【试题解析】考点:预付工程款的数额、支付时间及抵扣方式。预付工程款是发包人为解决承包人在施工准备阶段资金周转问题提供的协助。如使用的水泥、钢材等大宗材料,可根据工程具体情况设置工程材料预付款。双方应在合同中约定预付款数额:可以是绝对数,如50万元、100万元,也可以是额度,如合同金额的10%、15%等;约定支付时间:如合同签订后一个月支付、开工日前7天支付等;约定抵扣方式:如在工程进度款中按比例抵扣;约定违约责任:如不按合同约定支付预付款的利息计算,违约责任等。
26.某施工企业的一台拖拉机按工作量法计提折旧。该拖拉机原价30000元,预计净残值5%,可工作500个台班时数。投入使用后,第一年工作台班为250个小时,则该拖拉机第一年的折旧额为( )。
A.14250
B.8550
C.5700
D.1140
答案:A
解析:30000(1-5%)*250/500=14250
27.单价合同通常采用( )方法进行结算。
A.竣工后一次结算 B.分段结算
C.按月结算 D.按年结算
【答案】C
【试题解析】考点:工程款按月结算的适用范围。按月结算。即先预付部分工程款,在施工过程中按月结算工程进度款,竣工后进行清算的办法。单价合同常采用按月结算的方式。
28. 某独立土方工程,招标文件中估计工程量为100万m3,合同中规定:土方工程单价为5元/ m3,当实际工程量超过估计工程量15%时,调整单价,单价调为4元/m3。工程结束时实际完成土方工程量为130万m3,则土方工程款为( )万元。
A.575 B.620
C.615 D.635
【答案】D
【试题解析】考点:有关工程价款调整的规定。实际工程量=130万m3,估计工程量=100万m3,则实际工程量超过估计工程量比例为(130-100)/100=0.3>0.15,则根据合同约定必然要调整单价。合同约定范围内(15%以内)的工程款=100×(1+0.15)×5=575万元,超出部分的工程款=(130-100×1.15)×4=60万元,则土方工程款总额=575+60=635万元。
29.某建筑安装工程公司2009年3月发生施工费用如下:人工费30万元,耗用材料费用 50万元,机械使用费用 10万元,银行借款利息5万元。根据企业会计准则及其相关规定,则此项工程的直接费用是( )。
A.30万元
B.50万元
C.90万元
D.95万元
答案:C
30.某路桥施工公司与B交通局签订了一项公路建造合同,公路总长为50公里,合同规定每公里建造单价600万元,则该合同是( )。
A.固定造价合同
B.可变动造价合同
C.成本加成合同
D.成本加利润合同
答案:A
环球网校友情提示:如果您在此过程中遇到任何疑问,请登录环球网校一级建造师考试论坛,随时与广大考生朋友们一起交流!
编辑推荐:
31.反映企业一定时点上财务状况的静态会计等式是( )。
A.收入-费用=利润 B.资产=负债+权益
C.资产=负债+所有者权益 D.资产=所有者权益
【答案】C
【试题解析】考点:静态会计等式。静态会计等式为“资产=负债+所有者权益”。
32.某装饰企业于所属的A项目于2010年10月完工,工程完工时共发生材料费30万元,项目管理人员工资8万元,行政管理部门发生的水电费共2万元。根据企业会计准则及其相关规定,应计入工程成本的费用为( )。
A.30万元
B.32万元
C.38万元
D.40万元
答案:C
33.双倍余额递减法和年数总和法这两种计算固定资产折旧的方法,其共同点有( )。
A.每期折旧率固定 B.每期折旧额相等
C.考虑净残值 D.前期折旧高,后期折旧低
【答案】D
【试题解析】考点:双倍余额递减法和年数总和法两种折旧方法的共同点。共同点:在固定资产使用前期提取较多的折旧,而在使用后期则提取较少的折旧。双倍余额递减法不考虑净残值,折旧率不变;年数总和法考虑净残值,折旧率每年改变。
34.某施工企业2009年10月共实现营业收入6000万元,发生营业成本3000万元,财务费用400万元,管理费用600万元。根据企业会计准则及其相关规定,企业当期营业利润应为( )。
A.3000万元
B.2000万元
C.1000万元
D.500万元
答案:B
35.我国企业编制的利润表的基本格式属于( )
A.帐户式 B.多步式
C.单步式 D.报告式
【答案】B
【试题解析】考点:利润表的内容和结构。我国采用的是多步式利润表,通过对当期的收入、费用、支出项目按性质加以归类,按利润形成的主要环节列示一些中间性利润指标,如营业利润、利润总额、净利润,分步计算当期净损益。这种多步式利润表注意了收入与费用支出配比的层次性,便于对企业的经营情况进行分析,有利于不同企业之间进行比较,有利于预测企业未来酌盈利能力,从而满足报表使用者对会计信息的需求。
36.如果一项建造合同包括多项资产,每项资产应分立为单项合同处理,下列各项中不属于必备条件的是( )。
A.每项资产均有独立的建造计划
B.每项资产的收入和成本可以单独辨认
C.承包商与客户就每项资产单独进行谈判,双方能够接受或拒绝与每项资产有关的合同条款
D.该组合同同时或依次履行
答案:D
37.下列各项中,属于经营活动流出现金的是( )。
A.支付给职工的现金
B.购建无形资产所支付的现金
C.偿还债务所支付的现金
D.分配股利所支付的现金
答案:A
38.企业商业信用筹资包括( )
A.应收帐款 B.预付账款
C.应收票据 D.预收帐款
【答案】D
【试题解析】考点:商业信用筹资包含的内容。商业信用是指在商品交易中由于延期付款或预收货款所形成的企业间的借贷关系。它运用广泛,在短期负债筹资中占有相当大的比重。商业信用的具体形式有应付账款、应付票据、预收账款等。
39.固定造价合同结果能够可靠估计的标准不包括( )。
A.合同总成本能够可靠计量
B.为完成合同已经发生的合同成本能够清楚地区分和可靠计量
C.与合同相关的经济利益能够流人企业
D.合同总收入能够可靠地计量
【答案】A
【试题解析】考点:固定造价合同结果能够可靠估计的标准。判断固定造价合同的结果能够可靠估计,需同时具备以下条件:①合同总收入能够可靠地计量;②与合同相关的经济利益很可能流人企业;③实际发生的合同成本能够清楚地区分和可靠地计量;④合同完工进度和为完成合同尚需发生的成本能够可靠地确定。
40.据某公司期末会计报表资料,期初总资产1000000元,期末总资产为1200000元;利润总额为190000元,利息支出数为10000元,则该公司总资产报酬率为( )。
A.20%
B.16.67%
C.18.18%
D.16.78%
(190000+10000)/[( 1000000+1200000)/2]=18.18%
答案:C
环球网校友情提示:如果您在此过程中遇到任何疑问,请登录环球网校一级建造师考试论坛,随时与广大考生朋友们一起交流!
编辑推荐:
41.现金等价物的期限短的特点一般是指从购买日起到( )到期。
A.一个月后 B.二个月后C.三个月后 D.四个月后
【答案】C
【试题解析】考点:现金等价物。现金等价物,是指企业持有的期限短、流动性强、易于转换为已知金额的现金、价值变动风险小的短期投资。现金等价物是短期投资,其支付能力与现金差别不大,可视为现金。通常从购买日起三个月到期或清偿的国库券、商业本栗、货币市场基金、可转换定期存单、商业本票及银行承兑兑汇票等都可列为现金等价物。
42.补偿性余额是指银行要求借款人在银行中保持按贷款限额或实际借用额的一定百分比计算的最低存款余额,该百分比一般是( )。
A.10%
B.10%~15%
C.15%~20%
D.10%~20%
答案:D
43.某化工厂生产所需的某种材料,年采购总量为160000kg,材料单价为600元,一次订货成本为360元。每千克材料的年平均储备成本为1.80元。则材料的经济采购批量为( )kg。
A. 12000 B.16000 C.8000 D.6000
【答案】C
【试题解析】考点:经济采购批量的计算。
,其中,
为经济订购批量,K为每次订货的变动成本,D为年采购总量,
为单位储存变动成本。
根据题意,K=360元,K=160000kg,
=1.8元/kg,代入公式:
=8000kg
44.某企业在销售合同中规定的信用条件是:1/15,n/30。合同中信用期限是( )。
A.15天
B.20天
C.30天
D.45天
答案:C
45. 按建标[2003]206 号文的规定, 下列各项中属于规费的是 ( )。
A.住房公积金 B.安全施工费 C.劳动保护费 D.劳动保险费
【答案】A
【试题解析】考点:规费的构成。住房公积金属于规费;安全施工费属于措施费;劳动保护费属于人工费;劳动保险费属于企业管理费。
46.某进口设备FOB价为人民币1200万元,国际运费72万元,国际运输保险费用4.47万元,关税217万元,银行财务费6万元,外贸手续费19.15万元,增值税253.89万元,消费税率为5%,则该设备的消费税为( )万元。
A.78.60 B.74.67 C.79.93 D.93.29
【答案】A
【试题解析】考点:进口设备消费税的计算公式。
其中,到岸价=FOB价+国际运费+国际运输保险费,关税=到岸价×人民币外汇牌价×进口关税税率
本题中,到岸价=1200+72+4.47=1276.47万元,关税=217万元,则:
=78.6037万元
47.为满足施工建设需要而供到场地界区的、未列入工程费用的临时水、电、路、信等其他工程费用,和建设单位的现场临时建筑物的搭设、维修、拆除、摊销或建设期间租赁费用,以及施工期间专用公路或桥梁的加固、养护、维修等费用称为( )。
A.场地准备费
B.建设准备费
C.临时设施费
D.场地清理费
答案:C
48.某建设项目,建筑工程费1000万元,设备、工具购置费700万元,安装工程费为200万元,工程建设其他费用为150万元,基本预备费100万元,该项目建设期为2年,第一年计划投资40%,第二年计划投资60%,年价格上涨率为5%。则该项目的涨价预备费为( )。
A.38万元
B.116.85万元
C. 154.85万元
D. 2304.85万元
答案:C

49.某项目投资建设期为三年,第一年投资额是1000万元,且每年以15%速度增长,预计该项目年均投资价格上涨率为5%,则该项目建设期间涨价预备费()万元。
A.350 B.310.1 C.150 D.376.34
【答案】D
【试题解析】考点:涨价预备费的计算。计算过程如下:

50.按照编制程序和用途,建筑工程定额分为( )。
A.人工定额、材料消耗定额、施工机械台班使用定额
B.施工定额、预算定额、概算定额、概算指标、投资概算指标
C.国家定额、行业定额、地区定额、企业定额
D.建筑工程定额、设备安装工程定额、建筑安装工程费用定额、工程建设其他费用定额及工具、器具定额
答案:B
环球网校友情提示:如果您在此过程中遇到任何疑问,请登录环球网校一级建造师考试论坛,随时与广大考生朋友们一起交流!
编辑推荐:
51.生产某产品的工人小组由6人组成,每个小组的成员工日数为1工日,机械台班产量为5.85 ┫ /工日,则人工时间定额应为( )。
A.0.5工日/ ┫
B.0.98工日/ ┫
C.1.03工日/ ┫
D.1.5工日/ ┫
答案:C
解析: P185 6Ï1/5.85=1.03
52.某项目购买一台国产设备,其购置费为1 325万元,运杂费率为12%, 则设备的原价为( )万元。
A.1166 B.1183 C.1484 D.1506
【答案】B
【试题解析】考点:设备购置费的计算。设备购置费=设备原价或进口设备抵岸价十设备运杂费。根据题意,
,则设备的原价=1183.04万元
53.暂估价是招标人在工程量清单中提供的用于支付必然发生但暂时不能确定价格的材料价款以及专业工程的金额。应列入( )。
A.分部分项工程清单
B.措施项目清单
C.其他项目清单中
D.规费项目清单
答案:C
54.以扩大的分部分项工程为对象编制的定额是( )。
A . 施工定额 B.预算定额 C.概算定额 D.概算指标
【答案】C
【试题解析】考点:概算定额的编制依据。概算定额也叫做扩大结构定额。它规定了完成一定计量单位的扩大结构构件或扩大分项工程的人工、材料、机械台班消耗量的数量标准。
55.在工程计价中,对工程造价计价依据、办法以及相关政策规定发生争议事项的,负责解释的部门是( )。
A.工程造价管理机构
B.地方建设主管部门
C.行业协会
D.省级建设主管部门
答案:A
56.某土方工程直接工程费为800万元,以直接费为计算基础计算建筑安装工程费,其中措施费为直接费的8%,间接费费率为15%,利润率为7%,综合计税系数为3.4%。则该工程的建筑安装工程含税造价为( )。
A.1067.20万元
B.1080.10万元
C.1081.86万元
D.1099.30万元
答案:D
解析:800*(1+8%)*(1+15%)*(1+7%)*(1+3.4%)=1099.30
57.施工定额是以( )作为研究对象。A.工序 B.建筑物或构筑物各个分部分项工程C.扩大的分部分项工程 D.整个建筑物和构筑物
【答案】A
【试题解析】考点:施工定额的作用。施工定额是以同一性质的施工过程――工序作为研究对象,表示生产产品数量与时间消耗综合关系的定额。
58.工程保险费属于( )。
A.设备及工器具购置费 B.与未来企业生产经营有关的其他费用
C.工程建设其他费 D.与项目建设有关的其他费用
【答案】D
【试题解析】考点:工程保险费的归属。工程保险费属于与项目建设有关的其他费用。
59.在国际工程投标报价中,投标获得成功的基本保证是( )。
A.高水平投标报价班子
B.现场勘查
C.了解生产要素市场行情
D.估算实施项目工程量
答案:A
60.投标人参加标前会议时,对有关问题应注意的说法,错误的是()。
A.对工程内容范围不清的问题应当提请说明
B.对招标文件中图纸和技术说明相互矛盾之处请求说明以何为准
C.对含糊不清、容易产生歧义理解的合同条件请求给予澄清、解释
D.对业主在招标文件中的一些错误或疏漏提出批评或否认
答案:D
环球网校友情提示:如果您在此过程中遇到任何疑问,请登录环球网校一级建造师考试论坛,随时与广大考生朋友们一起交流!
编辑推荐:
二、多项选择题(共20题,每题2分,每题的备选项中。有2个或2个以上 符合题意,
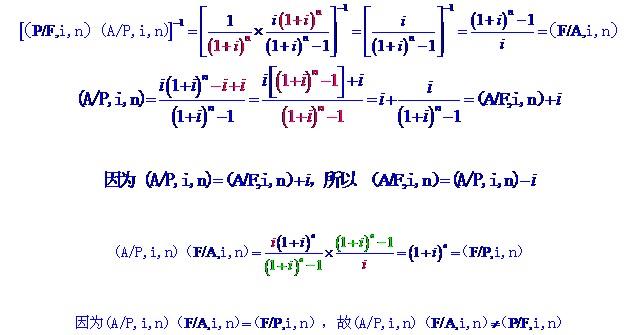
61.在资金时间价值计算时,i和n给定,下列等式中正确的有()。
A.(F/A,i,n)=[(P/F,i,n)(A/p,i,n)]-1
B.(A/P,i,n)=(A/F,i,n)+i
C.(A/F,i,n)=(A/P,i,n)-i
D.(F/P,i,n)=(A/P,i,n)/(F/A,i,n)
E.(A/P,i,n)(F/A,i,n)=(P/F,i,n)
答案:A、B、C、D
解析:

62.当动态投资回收期小于项目的计算期时,则必然有( )。
A.静态投资回收期小于项目寿命期。 B.财务净现值大于零。
C.财务净现值等于零 D.财务内部收益率大于基准收益率
E.财务内部收益率等于基准收益率
【答案】ABD
【试题解析】考点:投资方案各评价指标之间的关系。当动态投资回收期小于项目的计算期时,静态投资回收期小于项目寿命期,财务净现值大于零,财务内部收益率大于基准收益率。
63.如果投资方案在经济上可行,则有( )。
A.财务内部收益率大于基准收益率
B.财务内部收益率大于单位资金成本
C.财务净现值大于建设项目总投资
D.财务净现值大于零
E.财务净年值大于零
答案:A、B、D、E
64.对于建设项目来说,一般情况下,产生项目不确定性的主要原因有( )
A基础数据统计偏差
B未来市场需求结构的变化
C预测方法的局限性
D预测过程中出现的人为错误
E通货膨胀
【答案】ABCE
【试题解析】考点:不确定性因素产生的原因。产生不确定性因素的原因很多,一般情况下,产生不确定性的主要原因有以下几点:(1)所依据的基本数据不足或者统计偏差。(2)预测方法的局限,预测的假设不准确。(3)未来经济形势的变化。(4)技术进步。(5)无法以定量来表示的定性因素的影响。(6)其他外部影响因素,如政府政策的变化,新的法律、法规的颁布,国际政治经济形势的变化等。
65.下列包含在资本金现金流量表中,不包含在项目投资现金流量表中的有( )。
A.营业税金及附加
B.借款本金偿还
C.项目资本金
D.借款利息支付
E.所得税
答案:B、C、D
66. 当价值系数V<1时,应该采取的措施有( )。
A.在功能水平不变的条件下,降低成本。
B.在成本不变的条件下,提高功能水平。
C.去掉成本比重较大的多余功能。
D.补充不足功能,但是成本上升幅度很小。
E.不惜一切代价来提高重要的功能。
【答案】ABCD
【试题解析】考点:功能的价值系数。V/ 67.我国现行《建设工程工程量清单计价规范》规定的综合单价不包括( )。 A.人工费 B.管理费 C.利润 D.税金 E.规费【答案】DE 【试题解析】考点:《建设工程工程量清单计价规范》规定的综合单价的计算公式。综合单价=(直接工程费十管理费十利润)/清单工程量。规费属于间接费,间接费和税金不包括在综合单价的计算公式中。 68.某企业拟引进新生产线,已知新生产线的投资额为400万元,新生产线的经营成本为每年12万元;旧生产线的投资额为300万元,经营成本为每年14万元。该行业的基准投资收益率为2.5%,则( )。 A.引进后的增量投资收益率为1% B.引进后的增量投资收益率为2% C.引进后的增量投资收益率为2.5% D.应引进该生产线 E.不应引进该生产线 答案:B、E 69. 索赔费用的计算方法主要有( )。 A.实际费用法 B.总费用法 C.模拟概算法 D.逐项审核法 E.修正总费用法 【答案】ABE 【试题解析】考点:索赔费用的计算方法。索赔费用的计算方法有:实际费用法、总费用法和修正总费用法。 70. 国际工程中的开办费在不同的招标项目中包括的内容可能不相同,一般包括( )。 A.现场勘察费 B.现场清理费 C.进场临时道路费 D.总部管理费 E.现场试验设施费 【答案】ABCE 【试题解析】考点:开办费的内容。开办费在不同的招标项目中包括的内容可能不相同,一般可能包括以下内容:现场勘察费、现场清理费、进场临时道路费、业主代表和现场工程师设施费、现场试验设施费、施工用水电费、脚手架及小型工具费、承包商临时设施费、现场保卫设施和安装费用、职工交通费、其他杂项(如恶劣气候条件下施工设施、职工劳动保护和施工安全措施(如防护网)等)。 环球网校友情提示:如果您在此过程中遇到任何疑问,请登录环球网校一级建造师考试论坛,随时与广大考生朋友们一起交流! 编辑推荐:
A.固定造价合同的风险由发包方承担
B.固定造价合同的风险由承包商承担
C.成本加成合同的风险由发包方承担
D.成本加成合同的风险由承包商承担
E.建造合同的风险由承包方、发包方及相关单位共同承担
答案:BC
72.企业发生的与其施工生产经营活动没有直接关系的各项收入和支出是( )。
A.其他业务收入
B.其他业务支出
C.营业外收入
D.营业外支出
E.补贴收入
答案:CD
73. 信用政策一般主要包括( )
A.信用期间 B.商业折扣
C.折扣期限 D.现金折扣
E.信用标准
【答案】ADE
【试题解析】考点:信用政策的内容。信用政策包括:信用期间、信用标准和现金折扣政策。
74.下列方法中,属于编制人工定额的常用方法有( )。
A.统计分析法 B.成本估算法 C.比较类推法
D.技术测定法 E.理论计算法
【答案】ACD
【试题解析】考点:人工定额的常用方法。编制人工定额的常用方法有: 技术测定法、统计分析法、比较类推法、经验估计法。
75.融资租赁的租金构成主要包括()。
A.租赁资产的成本
B.租赁资产的折旧费
C.租赁资产的修理费
D.租赁资产的成本利息
E.租赁手续费
答案:ADE
76.某企业销售一批商品,为扩大销售采用30天信用销售,考虑到货款尽早收回,决定给予客户现金折扣,条件为“2/10,n/30”。该信用条件表述的含义是( )。
A.30日为信用期限
B.10日为信用期限
C.30日为折扣期限
D.10日为折扣期限
E.2%为现金折扣
答案:A、D、E
77.检验试验费不包括( )的费用。A.自设试验室进行试验所耗用的材料和化学药品B.新结构、新材料的试验费C.建设单位对具有出厂合格证明的材料进行检验D.对构件做破坏性试验及其他特殊要求检验试验E.对材料的一般鉴定和检查所发生的费用
【答案】BCD
【试题解析】考点:检验试验费包括的内容。检验试验费是指对建筑材料、构件和建筑安装物进行一般鉴定、检查所发生的费用,包括自设试验室进行试验所耗用的材料和化学药品等费用。不包括新结构、新材料的试验费和建设单位对具有出厂合格证明的材料进行检验,对构件做破坏性试验及其他特殊要求检验试验的费用。
78. 施工企业的期间费用主要包括( )。?A.直接费用 B.间接费用 ?C.营业费用 D.管理费用 ?E.财务费用
【答案】DE
【试题解析】考点:期间费用的构成。期间费用是指企业本期发生的、不能直接或间接归入营业成本,而是直接计人当期损益的各项费用。包括销售费用、管理费用和财务费用等。
79.在分部分项工程量清单中,对项目特征进行描述的意义是( )。
A.是区分清单项目的依据
B.是处理工程索赔的依据
C.是确定综合单价的前提
D.是工程付款的依据
E.是履行合同义务的基础
答案:ACE
80.下面关于投标价编制内容的说法,正确的是( )。
A.投标人可以考虑对投标总价作适当优惠
B.规费和税金不得作为竞争性费用
C.暂列金额应按照其他项目清单中列出的金额填写,不得变动
D.投标人可根据工程项目实际情况以及施工组织设计或施工方案,自主确定措施项目费
E.投标企业没有企业定额时可根据企业自身情况参照消耗量定额进行调整
答案:BCDE
环球网校友情提示:如果您在此过程中遇到任何疑问,请登录环球网校一级建造师考试论坛,随时与广大考生朋友们一起交流!
编辑推荐:
最新资讯
- 【免费领取】一级建造师考试基础自测卷,备考必备!2025-11-03
- 考生速进!2026年一建备考,好用的刷题APP是哪个?2025-10-21
- 别错过!8月30日9点一建决赛圈等你来考2025-08-30
- 别错过!2025年一级建造师黄金AB卷免费领取啦2025-08-11
- 提分必备!2025年一建《建设工程经济》经典100题免费下载2025-07-26
- 免费下载!2025年一级建造师《工程法规》经典100题,助你冲刺提分2025-07-23
- 备考必刷!2025年一级建造师项目管理经典100题免费下载2025-07-23
- 一级建造师题目讲解视频:提高价值的途径2025-07-17
- 一级建造师题目解析视频:阀门安装前阀门搬运的正确做法2025-07-16
- 备考必看!免费获取2025年新版一级建造师经典100题2025-07-07