2014年一级建造师项目管理模考套题及答案二
【摘要】环球网校一级建造师考试频道,为方便各位一级建造师考生更好的备考2015年一级建造师考试,特地整理一级建造师考试相关练习题,并附解析与参考答案,本文为《2014年一级建造师项目管理模考套题及答案二》,希望各位一级建造师考生通过自测练习题提高自己。更多试题和资料敬请关注环球网校一级建造师考试频道或【ctrl键+D】手动收藏此页面。
最新推荐:2014年一级建造师报名时间与方式专题
一、单项选择题(共70题,每题1分。每题的备选项中,只有1个最符合题意)
1关于施工合同条款中发包人责任和义务的说法,错误的是( )。
A. 提供具备条件的现场和施工用地,以及水、电、通信线路在内的施工条件
B. 提供有关水文地质勘探资料和地下管线资料,并对承包商关于资料的提问做书面答复
C. 办理施工许可证及其他施工所需证件、批件和临时用地等的申请批准手续
D. 协调处理施工场地周围地下管线和邻近建筑物、构建物的保护工作,承担相关费用
参考答案:B
2按子项目组成编制的施工成本计划,首先要把项目总施工成本分解到( )和单位工程中去。
A. 分部工程
B. 分项工程
C. 检验批
D. 单项工程
参考答案:D
3属于项目管理信息系统成本控制的功能的是( )。
A. 项目标底的数据计算和分析
B. 项目合同价的数据计算和分析
C. 投标估算的数据计算和分析
D. 计划资金投入和实际资金投入的比较分析
参考答案:C
4全国建设工程质量实行统一监督管理的部门是( )。
A. 国家技术监督局
B. 各级政府建设行政主管部门
C. 国务院铁路、交通、水利等部门
D. 国务院建设行政主管部门
参考答案:D
5项目的信息管理是通过对各个系统、各项工作和各种数据的管理,使项目的( )能方便和有效地获取、存储、存档、处理和交流。
A. 情况
B. 资料
C. 信息
D. 数据
参考答案:C
6中央管理的总公司(总厂、集团公司、上市公司)的应急预案备案的部门是( )。
A. 国务院国有资产监督管理部门
B. 国务院安全生产监督管理部门
C. 国务院有关主管部门
D. 同时向上述部门进行备案
参考答案:D
7网络图中,中间节点( )。
A. 既无外向箭头,也无内向箭头
B. 只有外向箭头
C. 既有外向箭头,也有内向箭头
D. 只有内向箭头
参考答案:C
8项目的结构编码应依据( ),对项目结构的每一层的每一组成部分进行编码。
A. 项目结构图
B. 系统结构图
C. 项目组织结构图
D. 组织矩阵图
参考答案:A
9工程项目质量控制均应围绕着致力于满足( )的质量总目标而展开。
A. 法律法规
B. 工程合同
C. 明确以及隐含
D. 业主要求
参考答案:D
10下列施工成本管理的措施中,属于技术措施的是( )。
A. 确定最合适的施工机械方案
B. 加强施工任务单的管理
C. 编制施工成本控制工作计划
D. 寻求施工过程中的索赔机会
参考答案:A
环球网校友情提示:如果您在此过程中遇到任何疑问,请登录环球网校一级建造师频道及考试论坛,随时与广大考生朋友们一起交流!
编辑推荐:
交流互动:
一建考试交流群:197117509
一建微博:http://weibo.com/edu24oljzs
一建微信:Edu24ol_jzs1
11工程施工过程中,由于战争、敌对行动、入侵等风险造成合同无法继续履行而起的索赔,属于( )。
A. 因合同文件引起的索赔
B. 工程暂停的索赔
C. 人力不可抗拒灾害的索赔
D. 特殊风险的索赔
参考答案:D
12某工地发生触电事故,一方面要进行人的安全用电操作教育,同时在现场要设置漏电开关,对配电箱用电电路进行防护改造。这属于安全隐患治理原则中的( )。
A. 预防和减灾并重治理原则
B. 重点治理原则
C. 单项隐患综合治理原则
D. 事故直接隐患和间接隐患并治原则
参考答案:C
13受到事故的严重威胁,Ⅱ级预警,用来表示的颜色是( )。
A. 橙色
B. 黄色
C. 绿色
D. 蓝色
参考答案:A
解析:Ⅱ级预警,表示受到事故的严重威胁,用橙色表示。所以A正确。
14建设工程采购合同约定质量标准的一般原则不包括( )。
A. 按颁布的国家标准执行
B. 没有国家标准而有部颁标准的则按照部颁标准执行
C. 没有国家标准和部颁标准时,可按照企业标准执行
D. 按国际标准执行
参考答案:D
解析:约定质量标准的一般原则是:按颁布的国家标准执行;没有国家标准而有部颁标准的则按照部颁标准执行;没有国家标准和部颁标准时,可按照企业标准执行;没有上述标准或虽有上述标准但采购方有特殊要求,按照双方在合同中约定的技术条件、样品或补充的技术要求执行。所以D正确。
15在网络计划中,工作的自由时差是指在不影响( )的前提下,该工作可以利用的机动时间。
A. 紧后工作最早开始时间
B. 后续工作最早开始时间
C. 紧后工作最迟开始时间
D. 紧后工作最早完成时间
参考答案:A
16获得IS0 9000质量管理体系认证的企业因质量体系严重不符合规定而被撤销认证的,最早可在撤销认证( )后重新提出认证申请。
A. 6个月
B. 1年
C. 2年
D. 3年
参考答案:B
17关于成本加酬金合同的说法,正确的是( )。
A. 采用该计价方式对业主的投资控制很不利
B. 成本加酬金合同不适用于抢险、救灾工程
C. 成本加酬金合同不宜用于项目管理合同
D. 对承包商来说,成本加酬金合同比固定总价合同的风险高,利润无保证
参考答案:A
18FIDIC系列合同条件中,发包人设计的或咨询工程师设计的房屋建筑工程和土木 工程应常用( )。
A. 施工合同条件
B. 永久设备和设计一建造合同条件
C. EPC交钥匙项目合同条件
D. 简明合同格式
参考答案:A
19对同一建设工程的担保而言,担保金额最低的担保通常是( )。
A. 投标担保
B. 支付担保
C. 预付款担保
D. 履约担保
参考答案:A
20先由建设单位和工程总承包企业对整个建设项目和总承包项目进行质量控制系统设计,再由设计、施工、监理企业进行责任范围内的质量控制系统设计,是依( )建立工程项目质量控制体系。
A. 分层次规划的原则
B. 总目标分解的原则
C. 质量责任制的原则
D. 系统有效性的原则
参考答案:A
21为使业主方各工作部门和项目各参与方方便快捷地获取进度信息,可利用( )作为基于网络的信息处理平台辅助进度控制。
A. Extranet
B. 局域网
C. 项目信息门户
D. Internet
参考答案:C
22下列建设工程项目招标投标活动中,属于合同要约行为的是( )。
A. 提交投标文件
B. 汀立承包合同
C. 发出中标通知书
D. 发布招标公告
参考答案:A
23ABC分类管理法中,A类问题是指( )问题。
A. 主要
B. 一般
C. 次要
D. 特殊
参考答案:A
24采用信息技术辅助进度控制,属于进度控制的( )。
A. 组织措施
B. 管理措施
C. 经济措施
D. 技术措施
参考答案:B
25辅助进度控制的计算机软件是指以( )为核心的项目管理软件包。
A. 横道图
B. 网络技术
C. 网络计划
D. 网络图
参考答案:C
26施工现场宿舍的设置,符合要求的是( )。
A. 室内净高于2.2m
B. 每间宿舍居住人员18人
C. 2层床铺
D. 通道宽度1.2m
参考答案:D
解析:现场宿舍室内净高不得小于2.4m,通道宽度不得小于0.9m,每间宿舍居住人员不得超过16人;床铺不得超过2层,严禁使用通铺。所以D正确。
27按照我国的现行规定,施工现场( )人以上的临时食堂,污水排放时可设置有效的隔油池。
A. 50
B. 100
C. 150
D. 200
参考答案:B
28为了实现业主方内部、业主方与项目参与各方,以及项目参与各方之间的信息交流、协同工作和文档管理,可以通过基于互联网的项目专用网站,或( )实现。
A. 项目信息门户
B. 商务平台
C. 网络通信协议
D. 现代通信技术参考答案:A
解析:通过基于互联网的项目专用网站,实现业主方内部、业主方与项目参与各方,以及项目参与各方之间的信息交流、协同工作和文档管理;或通过基于互联网的项目信息门户ASP模式为更多项目服务的公用信息平台实现业主方内部、业主方与项目参与各方,以及项目参与各方之间的信息交流、协同工作和文档管理。所以A正确。
29在编制成本支出计划时,要在项目的总的方面考虑总的预备费,也要在( )安排适当的不可预见费。
A. 所有的分项工程中
B. 所有的检验批中
C. 主要的检验批中
D. 主要的分项工程中
参考答案:D
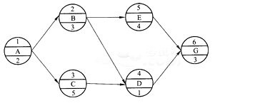
30下图所示的单代号网络计划,其计算工期为( )天。

A. 11
B. 9
C. 12
D. 15
参考答案:C
解析:计算工期为:2+3+4+3=12天。所以C正确。
31在进行建设工程项目总进度目标控制前,首先应( )。
A. 对项目实施进行总体部署
B. 分析和论证进度目标实现的可能性
C. 制定项目进度控制的措施
D. 编制施工总进度规划
参考答案:B
32作业文件是职业健康安全管理体系文件之一,其内容不包括( )。
A. 作业指导书
B. 管理规定
C. 程序文件引用的表格
D. 程序文件
参考答案:D
解析:略
33建设工程项目管理信息系统是利用计算机辅助进行项目管理的信息系统,它 ( )。
A. 主要用于项目的人、财、物的管理
B. 主要用于企业的产、供、销的管理
C. 是项目进展的跟踪和控制系统
D. 是项目信息门户(PIP)的一种方式
参考答案:C
解析:建设工程项目管理信息系统是基于计算机的项目管理的信息系统,主要用于项目的目标控制。它是项目进展的跟踪和控制系统,也是信息流的跟踪系统。所以C正确。
34施工成本预测的工作是在施工项目( )进行。
A. 施工以前
B. 施工前期
C. 施工中期
D. 施工后期
参考答案:A
35关于对施工生产要素的质量控制的说法,错误的是( )。
A. 加强劳动对象的质量控制是实现工程项目投资目标和进度目标的前提
B. 加强原材料、半成品及设备的质量控制,是提高工程质量的必要条件
C. 要消除施工环境因素对施工质量的不利影响,主要是采取事后控制的方法
D. 施工工艺的先进合理是直接影响工程质量、工程进度及工程造价的关键因素
参考答案:C
36建设工程项目进度控制的技术措施涉及对( )的选用。
A. 设计人员和构成
B. 设计机构和施工人员
C. 设计技术和施工技术
D. 软技术和硬技术
参考答案:C
解析:建设工程项目进度控制的技术措施涉及对实现进度目标有利的设计技术和施工技术的选用。所以C正确。
37安全检查应把自检与互检有机结合起来,基层以( )为主。
A. 自检
B. 互检
C. 两者都是
D. 两者都不是
参考答案:A
38信息化指的是工程管理( )的开发和利用,以及信息技术的开发和应用。
A. 信息编码
B. 信息系统
C. 信息资源
D. 信息体系
参考答案:C
解析:工程管理信息化是工程管理信息资源的开发和利用,以及信息技术在工程管理中的开发和应用。所以C正确。
39利用直方图分布位置判断生产过程的质量状况和能力,如果质量特性数据的分布宽度边界达到质量标准的上下界限,说明生产过程的质量能力( )。
A. 偏小、需要整改
B. 处于临界状态,易出现不合格
C. 适中、符合要求
D. 偏大、不经济
参考答案:B
40建设工程项目质量控制系统的服务范围是( )。
A. 项目实施的所有责任主体
B. 施工单位
C. 设计单位与施工单位
D. 设计单位、施工单位与监理单位
参考答案:A
41某建设工程项目承发包双方签订了设计一施工总承包合同,属于承包人工作范围的是( )。
A. 落实项目资金
B. 办理规划许可证
C. 办理施工许可证
D. 完成设计文件
参考答案:D
解析:在建设工程项目总承包模式中,项目总承包单位的工作范围除了全部的工程施工任务以外,还包括设计任务和物资(包括设备)采购任务。落实项目资金、办理规划许可证、办理施工许可证是建设单位的任务。所以D正确。
42在施工成本管理环节中,对未来的成本水平及其可能发展趋势做出估计,称为( )。
A. 施工成本计划
B. 施工成本核算
C. 施工成本分析
D. 施工成本预测
参考答案:D
解析:施工成本预测就是根据成本信息和施工项目的具体情况,运用一定的专门方法,对未来的成本水平及其可能发展趋势作出科学的估计。所以D正确。
43索赔利润的款额计算通常按照( )计算。
A. 由监理工程师计算报业主确认的利润额
B. 米用承包商总部平均利润百分率
C. 由承包商与业主双方协商确定的利润率
D. 采用与原报价单中一致的利润百分率
参考答案:D
44在单价合同中,如发包人没有明确工程量变更的限度,则承包人应与发包人确定一个“增减量幅度”。当超过该幅度时,( )。
A. 分包商有权要求对工程单价进行调整
B. 工程师有权批准对工程单价进行调整
C. 业主可以直接批准对工程单价进行调整
D. 承包人有权要求对工程单价进行调整
参考答案:D
45设备安装工程具备单机无负荷试车条件时,由( )组织试车。
A. 发包人
B. 分包商
C. 承包商
D. 监理工程师
参考答案:C
46非承包商原因导致非关键线路上的某项工作延误,如延误时间小于该项工作的总时差,则对此项延误的补偿是( )。
A. 业主既应给予工期顺延,也应给予费用补偿
B. 业主一般不会给予工期顺延,但给予费用补偿
C. 业主既不会给予工期顺延,也不给予费用补偿
D. 业主一般不会给予工期顺延,但可能给予费用补偿
参考答案:B
解析:p348
47某工人在施工作业过程中脚部被落物砸伤,休养了21周。根据《企业职工伤亡事故分类》GB 6441―1986,该事故属于( )。
A. 轻伤事故
B. 重伤事故
C. 职业病
D. 失能伤害
参考答案:B
解析:根据《企业职工伤亡事故分类》GB 6441--1986标准规定,按事故后果严重程度分类:重伤事故,一般指受伤人员肢体残缺或视觉、听觉等器官受到严重损失,能引起人体长期存在功能障碍或劳动能力有重大损失的伤害,或者造成每个受伤人损失105个工作日以上的失能伤害的事故。所以B正确。
48某施工承包工程,承包人于2004年5月10日送交验收报告,发包人组织验收后提出修改意见,承包人按发包人要求修改后于2004年7月 10日再次送交工程验收报告,发包人于2004年7月20日组织验收,2004年7月30日给予认可。则该工程实际竣工日期为( )。
A. 2004年5月10日
B. 2004年7月10日
C. 2004年7月20日
D. 2004年7月30日
参考答案:B
解析:当工程按发包人要求修改后通过验收,其实际竣工日期为承包人送交竣工验收报告的日期。所以B正确。
49施工成本计划通常有三类指标,SIK ()。
A. 拟定工作预算成本指标,已完成工作预算成本指标和成本降低率指标
B. 成本计划的数量指标,质量指标和效益指标
C. 预算成本指标,计划成本指标和实际成本指标
D. 人、财、物成本指标
参考答案:B
50施工总成本目标确定之后,还需通过编制详细的( )把目标成本层层分解,落实到施工过程的每个环节,有效地进行成本控制。
A. 指导性成本计划
B. 竞争性成本计划
C. 实施性成本计划
D. 工艺性成本计划
参考答案:C
51项目管理信息系统中成本控制的功能包括( )。
A. 绘制网络图和计划横道图
B. 编制资源需求量计划
C. 进度计划执行情况的比较分析
D. 计划成本与实际成本的比较分析
参考答案:D
解析:成本控制的功能:投资估算的数据计算和分析;计划施工成本;计算实际成本;计划成本与实际成本的比较分析;根据工程的进展进行施工成本预测等。所以D正确。
52建设工程施工劳务分包合同中,劳务分包人的义务包括( )。
A. 负责与发包人、监理、设计及有关部门联系,协调现场工作关系
B. 完成水、电、热、通信等施工管线和施工道路,并满足完成本合同劳务作业所需的能源供应、通信及施工道路畅通的时间和质量要求
C. 严格按照设计图纸、施工验收规范、有关技术要求及施工组织设计精心组织施工,确保工程质量达到约定的标准
D. 对工程的工期和质量向发包人负责
参考答案:C
53施工安全控制程序包括:①安全技术措施计划的落实和实施;②编制建设工程项目安全技术措施计划;③安全技术措施计划的验证;④确定每项具体建设工程项目的安全目标;⑤持续改进。其正确顺序是( )。
A. ②→④→①→③→⑤
B. ④→②→①→③→⑤
C. ④→②→③→①→⑤
D. ②→③→④→①→⑤
参考答案:B
54在搭接网络计划中,终点节点一般表示( )。
A. 实际工作
B. 虚拟工作
C. 计划工期
D. 实际工期
参考答案:B
解析:在搭接网络计划中,终点节点一般都表示虚拟工作(其持续时间为零),故其最早完成时间与最早开始时间相等,且一般为网络计划的计算工期。所以B正确。
55施工成本计划是施工项目成本控制的一个重要环节,一般情况下,旋工成本计划总额应控制在( )范围内。
A. 固定成本
B. 目标成本
C. 预算成本
D. 实际成本
参考答案:B
56以货币形式编制施工项目在施工项目周期内的生产费用、成本水平、成本降低率, 以及为降低成本所采取的主要措施和规划的书面方案是指( )。
A. 成本预测
B. 成本计划
C. 成本核算
D. 成本考核
参考答案:B
解析:施工成本计划是以货币形式编制施工项目在计划期内的生产费用、成本水平、成本降低率以及为降低成本所采取的主要措施和规划的书面方案,它是建立施工项目成本管理责任制、开展成本控制和核算的基础。所以B正确。
57建设工程项目总进度目标的控制是( )项目管理的任务。
A. 施工方
B. 业主方
C. 设计方
D. 供货方
参考答案:B
58在建设工程项目质量的形成过程中,应在建设项目的( )阶段完成质量需求的识别。
A. 决策
B. 施工
C. 竣工验收
D. 设计
参考答案:A
59按照当事人分类,索赔不包括( )。
A. 承包人与发包人之间的索赔
B. 承包人与分包人之间的索赔
C. 分包人和发包人之间的索赔
D. 承包人和保险人之间的索赔
参考答案:C
60纠纷裁决委员会的委员特别应具有( )方面的丰富经验。
A. 法律
B. 合同管理
C. 工程技术
D. 工程施工
参考答案:D
61关于成本计划编制过程的说法,错误的是( )。
A. 是动员全体施工项目管理人员的过程
B. 是挖掘降低成本潜力的过程
C. 是检验工程施工安全管理是否有效落实的过程
D. 是检验施工技术质量管理是否有效落实的过程
参考答案:C
解析:编制成本计划的过程也是动员全体施工项目管理人员的过程,是挖掘降低成本潜力的过程,是检验施工技术质量管理、工期管理、物资消耗和劳动力消耗管理等是否有效落实的过程。所以C正确。
62根据《建筑工程施工质量验收统一标准》G,B 50300--2013,对于通过翻修可以解决质量缺陷的检验批,应( )。
A. 按验收程序重新进行验收
B. 按技术处理方案和协商文件进行验收
C. 经检测单位检测鉴定后予以验收
D. 经设计单位复核后予以验收
参考答案:A
63某工程基础施工中出现了意外情况,导致了工程量由原来的2800m。增加到3500m3,原定工期是40天,则承包商可以提出的工期索赔值是( )。
A. 5天
B. 6天
C. 8天
D. 10天
参考答案:D
解析:工期索赔值=原工期×新增工程量/原工程量=40×(3500―2800)/2800=10(天)。所以D正确。
64建设工程施工安全控制的目标是( )。
A. 找出所有危险源
B. 评估危险源可能造成的危害
C. 减少和消除生产过程中的事故
D. 事故应急处理
参考答案:C
65反映的信息量少,但用它进行分析具有形象直观的特点的成本偏差分析方法是( )。
A. 横道图法
B. 曲线法
C. 表格法
D. 折线法
参考答案:A
解析:横道图法具有形象、直观、一目了然等特点,它能够准确表达出费用的绝对偏差,而且能直观地表明偏差的严重性。但这种方法反映的信息量少,一般在项目的较高管理层应用。所以A正确。
66关于施工成本及其管理的说法,正确的是( )。
A. 施工成本是指施工过程中消耗的构成工程实体的各项费用支出
B. 施工成本预测是以货币形式编制施工项目在计划期内的生产费用、成本水平、 成本降低率及降低成本措施的书面方案
C. 施工成本考核是在施工成本核算的基础上,对成本形成过程和影响成本升降的 因素进行分析,以寻求进一步降低成本的途径
D. 施工成本管理就是在保证工期和满足质量要求的情况下,采取相应措施把成本 控制在计划范围内,并最大限度地节约成本
参考答案:D
解析:A、B、C的正确说法,A应为施工成本是指施工过程中所发生的全部生产费用的总和;B应为施工成本计划是以货币形式编制施工项目在计划期内的生产费用、成本水平、成本降低率及降低成本措施的书面方案;C应为施工成本分析是在施工成本核算的基础上,对成本形成过程和影响成本升降的因素进行分析,以寻求进一步降低成本的途径。所以D正确。
67《中华人民共和国劳动法》规定:新建、改建、扩建工程的劳动安全卫生设施必须与主体工程( )。
A. 同时设计、同时施工、同时投入生产和使用
B. 同时开工
C. 同时验收
D. 同时立项
参考答案:A
解析:《中华人民共和国劳动法》第五十三条规定:新建、改建、扩建工程的劳动安全卫生设施必须与主体工程同时设计、同时施工、同时投入生产和使用。所以A正确。
68( )不属于偏差分析中的表格法的优点。
A. 灵活、适用性强
B. 形象、直观、一目了然
C. 信息量大
D. 可借助计算机,提高速度
参考答案:B
解析:形象、直观、一目了然属于横道图法的优点。所以B正确。
69采用固定总价合同时,承包商承担的价格风险是( )。
A. 漏报项目
B. 工程量计算错误
C. 工程范围不确定
D. 工程变更
参考答案:A
70政府质量监督机构对施工过程中发生的质量问题进行查处,对问题严重的单位可根据问题性质签发( )。
A. 质量问题整改通知单
B. 局部暂停施工指令单
C. 全面停工通知书
D. 临时收缴资质证书通知书
参考答案:D
解析:政府质量监督机构对施工过程中发生的质量问题、质量事故进行查处。根据质量监督检查状况,对查实的问题可签发“质量问题整改通知单”或“局部暂停施工指令单”,对问题严重的单位也可根据问题性质签发“临时收缴资质证书通知书”。所以D正确。
二、多项选择题(共30题,每题2分。每题的备选项中,有2个或2个以上符合题意,至少有1个错项。错选,本题不得分;少选,所选的每个选项得0.5分)
71建设工程项目质量的评价指标包括( )等。
A. 适用性
B. 可用性
C. 安全性
D. 经济性
E. 环境的适宜性
参考答案:A,C,D,E
72在项目组织结构中,应由( )负责进度控制工作。
A. 总承包公司
B. 专门的工作部门
C. 符合进度控制岗位资格的专人
D. 分包人
E. 项目管理部门
参考答案:B,C
73承包人向发包人索赔时,所提交索赔文件的主要内容包括( )。
A. 索赔证据
B. 索赔事件总述
C. 索赔合理性论述
D. 索赔要求计算书
E. 索赔意向通知
参考答案:A,B,C,D
74业主方进度控制的任务是控制整个项目实施阶段的进度,包括( )。
A. 控制设计准备阶段的工作进度
B. 控制设计工作进度
C. 控制施工进度
D. 控制项目动用前准备阶段的工作进度
E. 控制招标投标进度
参考答案:A,B,C,D
75按照工作持续时间的特点不同,工程网络计划可划分为( )。
A. 肯定型网络计划
B. 随机型网络计划
C. 分级型网络计划
D. 事件型网络计划
E. 非肯定型网络计划
参考答案:A,B,E
76建设工程施工承包合同文件由( )组成。
A. 合同补遗
B. 合同条件
C. 招标文件
D. 邀请招标函
E. 投标文件
参考答案:A,B,C,E
77对于总价合同,承包商为了减少风险,可以在合同中约定重大变更或其他特殊件下对合同价格进行调整,但需要在合同中明确( )。
A. 定义重大变更的含义
B. 特殊条件的含义
C. 累计工程变更的幅度
D. 调整合同价格的方式
E. 调整合同价款的支付方式
参考答案:A,B,C,D
78某分部工程双代号时标网络计划如下图所示,该计划所提供的正确信息有( )。
A. 工作B的总时差为3天
B. 工作C的总时差为2天
C. 工作D为关键工作
D. 工作E的总时差为3天
E. 工作G的自由时差为2天
参考答案:A,B,C,D
解析:自由时差直接从波形线的长度得到,总时差等于其紧后工作的总时差加本工作与该紧后工作之间的时间间隔所得之和的最小值。其他选项均正确,E答案中G工作的总时差为2自由时差为0。所以A、B、C、D正确。
79决定了职业健康安全与环境管理多变性的原因是( )。
A. 项目建设现场材料、设备和工具的流动性大
B. 各工种的交叉和平行作业
C. 较多的外部环境影响因素
D. 地理条件和地域资源的影响
E. 由于技术进步,项目不断引入新材料、新设备和新工艺
参考答案:A,E
80根据《律设工程安全生产管理条例》规定,下列分部分项工程应当编制专项施工方案的有( )。
A. 基坑支护与降水工程
B. 土方开挖工程
C. 钢筋工程
D. 脚手架工程
E. 模板工程
参考答案:A,B,D,E
81关于建设工程现场文明施工管理的说法,正确的有( )。
A. 施工现场必须实行封闭管理,设置进出大门,制定门卫制度,严格执行外来人员进场登记制度
B. 项目经理是施工现场文明施工的第一责任人
C. 沿工地四周连续设置围挡,市区主要道路和其他涉及市容景观的工地围挡的高度不得低于1.8m
D. 施工现场设置排水系统,泥浆、污水、废水有组织地排人下水道和排水河道
E. 现场建立消防领导小组,落实消防责任制和责任人员
参考答案:A,B,E
解析:D:施工现场设置排水系统,严禁泥浆、污水、废水外流或堵塞下水道和排水河道”。参见教材P240。
82根据《质量管理体系基础和术语》GB/T l9000--2008,属于质量管理的八项原则的有( )。
A. 以顾客为关注焦点
B. 持续改进
C. 全过程控制
D. 全员参与
E. 过程方法
参考答案:A,B,D,E
83建设工程项目进度控制的组织措施包括有( )。
A. 进度控制任务分工表和管理职能分工表的编制
B. 制定进度控制的工作流程
C. 编制资源需求计划
D. 进行进度控制会议的组织设计
E. 设置专门的工作部门和配备专门的控制人员
参考答案:A,B,D,E
84根据我国《企业职工伤亡事故分类》GB 6441―1986,下列伤害事故中,属于“机械伤害”的有( )。
A. 被车辆撞击造成人员伤害
B. 搅拌机械传动装置断裂甩出伤人
C. 汽车倾覆造成人员伤亡
D. 电动切割机械防护不当造成操作人员受伤
E. 起重机吊物坠落砸伤作业人员
参考答案:B,D
解析:根据我国《企业伤亡事故分类》GB 6441--1986标准规定,机械伤害指被机械设备或工具绞、碾、碰、割、戳等造成的人身伤害,不包括车辆、起重设备引起的伤害。选项A、C属车辆伤害,选项E属起重伤害。所以B、D正确。
85施工作业质量自控的有效制度有( )。
A. 质量例会制度
B. 质量会诊制度
C. 质量自检制度
D. 质量挂牌制度
E. 质量验收制度
参考答案:A,B,C,D
86在索赔款项的计算中,具体利率的确定方法有( )。
A. 按当时的银行贷款利率
B. 按当时的银行透支利率
C. 按合同双方协议的利率
D. 按中央银行贴现率加三个百分点
E. 按中央银行贴现率加五个百分点
参考答案:A,B,C,D
87对原材料、半成品及设备进行质量控制的主要内容有( )。
A. 控制材料设备性能、标准与设计文件的相符性
B. 控制材料设备各项技术性能指标、检验测试指标与标准要求的相符性
C. 控制材料设备的供货时间与运输方式
D. 控制材料设备进场验收程序及质量文件资料的齐全程度
E. 控制优先使用节能低碳的材料
参考答案:A,B,D,E
88采用过程控制的方法控制施工成本时,控制的要点有( )。
A. 人工费、材料费按量价分离原则进行控制
B. 材料价格由项目经理负责控制
C. 零星材料采用定额控制方法进行控制
D. 提高劳动生产率,降低工程耗用人工工日,是控制人工费的主要手段
E. 对分包费用的控制,重点是做好分包工程询价、验收和结算等工作
参考答案:A,D,E
89施工质量事前预控途径包括( )。
A. 施工图纸会审和设计交底
B. 工程测量定位和标高基准点的控制
C. 施工技术复核
D. 施工分包单位的选择和资质的审查
E. 施工机械设备及工器具的配置与性能控制
参考答案:A,B,D,E
90职业健康安全管理体系与环境管理体系培训的目的有( )。
A. 使有关人员了解建立体系的重要性
B. 使有关人员了解标准的主要思想
C. 使有关人员了解标准的主要内容
D. 证实体系处于有效运行状态
E. 表明组织对职业健康安全管理与环境管理的承诺,特别是最高管理者的承诺
参考答案:A,B,C
解析:职业健康安全管理体系与环境管理体系培训的目的是使有关人员了解建立体系的重要性,了解标准的主要思想和内容。所以A、B、C正确。
91关于项目费用偏差分析方法的说法,正确的有( )。
A. 横道图法形象、直观
B. 横道图法是最常见的一种方法
C. 表格法反映的信息量大
D. 表格法具有灵活、适用性强的优点
E. 曲线法能够直接用于定量分析参考答案:A,C,D
解析:横道图法形象、直观;表格法是最常见的一种方法;表格法反映的信息量大;表格法具有灵活、适用性强的优点;表格法将项目编号、名称、各费用参数以及费用偏差数综合归纳入一张表格中,并且直接在表格中进行比较。由于各偏差参数都在表中列出,使得费用管理者能够综合地了解并处理这些数据。此法能够直接用于定量分析。所以A、C、D正确。
92某施工项目,拟对施工成本进行预测,预测得到的成本估算可以用作该施工项目 ( )的依据。
A. 成本决策
B. 成本计划
C. 成本控制
D. 成本管理
E. 成本考核
参考答案:A,B
93关于工期索赔的说法,正确的有( )。
A. 单一延误是可索赔延误
B. 非关键线路延误是不可索赔延误
C. 交叉延误可能是可索赔延误
D. 共同延误是不可索赔延误
E. 非承包商原因造成的关键线路延误都是可索赔延误
参考答案:A,C,E
94在某工程网络计划中,工作M的总时差为2天。在该计划执行一段时间后检查实际进展情况时发现工作M的总时差变为-3天,说明工作M的实际进度( )。
A. 拖后3天
B. 影响工期3天
C. 拖后5天
D. 影响工期5天
E. 拖后2天
参考答案:B,C
解析:工作M的总时差变为一3天,说明工作M不仅将原有的2天总时差全部用完,而且在原计划总工期内还差3天,因此工作M的实际进度拖后5天,影响总工期3天。所以B、C正确。
95施工验收质量控制包括( )。
A. 主体工程验收
B. 隐蔽工程验收
C. 检验批验收
D. 分项工程
E. 单位工程验收
参考答案:A,C,D
96下列施工成本管理措施中,属于经济措施的有( )。
A. 编制资金使用计划
B. 及时准确记录、收集、整理、核算实际发生的成本
C. 选用最合适的施工机械
D. 编制施工成本控制工作计划
E. 选用先进、高效的机械设备
参考答案:A,B
97大型建设工程项目的总进度纲要的主要内容包括( )。
A. 项目实施的总体部署
B. 总进度规划
C. 各子系统进度规划
D. 确定里程碑事件的计划进度目标
E. 项目实施的主客观条件
参考答案:A,B,C,D
解析:大型建设工程项目总进度纲要的主要内容包括:项目实施的总体部署;总进度规划;各子系统进度规划;确定里程碑事件的计划进度目标;总进度目标实现的条件和应采取的措施等。所以A、B、C、D正确。
98关于发包人支付担保的说法,正确的有( )。
A. 可由担保公司提供担保
B. 担保的额度为工程合同价总额的10%
C. 实行履约金分段滚动担保
D. 支付担保的主要作用是确保工程费用及时支付到位
E. 实行支付担保的担保合同应作为施工承包合同的附件
参考答案:A,C,D,E
99关于综合成本分析方法的说法,正确的有( )。
A. 分部分项工程成本法分析的方法是进行计划成本、目标成本和实际成本的三算对比
B. 每一个分部分项工程都必须进行成本分析
C. 月度成本分析的依据是当月的成本报表
D. 年度成本分析的重点是分析产量、工期、质量、三材节约率对成本的影响
E. 单位工程竣工成本分析应包括对主要资源节超比进行对比分析
参考答案:C,E
100关于施工成本管理的说法,正确的有( )。
A. 施工成本计划是成本预测的依据
B. 施工成本管理应从工程投标报价开始,直到项目保证金返还为止
C. 施工成本一般以分项工程为成本核算对象
D. 成本分析时,对于偏差的控制,分析是关键,纠偏是核心
E. 成本考核是实现成本目标责任制的最后检验
参考答案:B,D
环球网校友情提示:如果您在此过程中遇到任何疑问,请登录环球网校一级建造师频道及考试论坛,随时与广大考生朋友们一起交流!
最新资讯
- 【免费领取】一级建造师考试基础自测卷,备考必备!2025-11-03
- 考生速进!2026年一建备考,好用的刷题APP是哪个?2025-10-21
- 别错过!8月30日9点一建决赛圈等你来考2025-08-30
- 别错过!2025年一级建造师黄金AB卷免费领取啦2025-08-11
- 提分必备!2025年一建《建设工程经济》经典100题免费下载2025-07-26
- 免费下载!2025年一级建造师《工程法规》经典100题,助你冲刺提分2025-07-23
- 备考必刷!2025年一级建造师项目管理经典100题免费下载2025-07-23
- 一级建造师题目讲解视频:提高价值的途径2025-07-17
- 一级建造师题目解析视频:阀门安装前阀门搬运的正确做法2025-07-16
- 备考必看!免费获取2025年新版一级建造师经典100题2025-07-07