一建经济教材解析:1Z101052设备更新方案的比选原则
【摘要】环球网校一级建造师频道为您提供一级建造师考试必备的复习资料和试题,供考生复习备考之用,本文为一建经济教材解析:1Z101052设备更新方案的比选原则,是考生必须要熟记和掌握的重点内容。2015年的一级建造师考试将于9月19日至20日举行,环球网校在此提醒广大考生做好复习备考。祝广大考生顺利通过一级建造师考试!
1Z101052设备更新方案的比选原则
一、设备更新的概念
设备更新是对旧设备的整体更换,就其本质来说,可分为原型设备更新和新型设备更新。原型设备更新是简单更新,就是用结构相同的新设备去更换有形磨损严重而不能继续使用的旧设备。这种更新主要是解决设备的损坏问题,不具有更新技术的性质。新型设备更新是以结构更先进、技术更完善、效率更高、性能更好、能源和原材料消耗更少的新型设备来替换那些技术上陈旧、在经济上不宜继续使用的旧设备。通常所说的设备更新主要是指后一种,它是技术发展的基础。因此,就实物形态而言,设备更新是用新的设备替换陈旧落后的设备;就价值形态而言,设备更新是设备在运动中消耗掉的价值的重新补偿。设备更新是消除设备有形磨损和无形磨损的重要手段,目的是为了提高企业生产的现代化水平,尽快地形成新的生产能力。
二、设备更新策略
设备更新分析是企业生产发展和技术进步的客观需要,对企业的经济效益有着重要的影响。过早的设备更新,无论是由于设备暂时出故障就报废的草率决定,还是片面追求现代化购买最新式设备的决定,都将造成资金的浪费,失去其他的收益机会;对一个资金十分紧张的企业可能走向另一个极端,采取拖延设备的更新,这将造成生产成本的迅速上升,失去竞争的优势。因此,设备是否更新?何时更新?选用何种设备更新?既要考虑技术发展的需要,又要考虑经济方面的效益。这就需要建造师不失时机地做好设备更新分析
工作,采取适宜的设备更新策略。
设备更新策略应在系统全面了解企业现有设备的性能、磨损程度、服务年限、技术进步等情况后,分轻重缓急,有重点有区别地对待。凡修复比较合理的,不应过早更新;可以修中有改进,通过改进工装就能使设备满足生产技术要求的不要急于更新;更新个别关键零部件就可达到要求的,不必更换整台设备;更换单机能满足要求的,不必更换整条生产线。通常优先考虑更新的设备是:
(1)设备损耗严重,大修后性能、精度仍不能满足规定工艺要求的;
(2)设备耗损虽在允许范围之内,但技术已经陈旧落后,能耗高、使用操作条件不好、对环境污染严重,技术经济效果很不好的;
(3)设备役龄长,大修虽然能恢复精度,但经济效果上不如更新的。
三、设备更新方案的比选原则
确定设备更新必须进行技术经济分析。设备更新方案比选的基本原理和评价方法与互斥性投资方案比选相同。但在实际设备更新方案比选时,应遵循如下原则:
1.设备更新分析应站在客观的立场分析问题。设备更新问题的要点是站在客观的立场上,而不是站在旧设备的立场上考虑问题。若要保留旧设备,首先要付出相当于旧设备当前市场价值的投资,才能取得旧设备的使用权。
2.不考虑沉没成本。沉没成本是既有企业过去投资决策发生的、非现在决策能改变(或不受现在决策影响)、已经计入过去投资费用回收计划的费用。由于沉没成本是已经发生的费用,不管企业生产什么和生产多少,这项费用都不可避免地要发生,因此现在决策对它不起作用。在进行设备更新方案比选时,原设备的价值应按目前实际价值计算,而不考虑其沉没成本。例如,某设备4年前的原始成本是80000元,目前的账面价值是30000元,现在的市场价值仅为18000元。在进行设备更新分析时,旧设备往往会产生一笔沉没成本,即:
沉没成本=设备账面价值-当前市场价值 (1Z101052-1)
或 沉没成本=(设备原值-历年折旧费)-当前市场价值 (1Z101052-2)
则本例旧设备的沉没成本为12000元(=30000-18000),是过去投资决策发生的而与现在更新决策无关,目前该设备的价值等于市场价值18000元。
3.逐年滚动比较。该原则是指在确定最佳更新时机时,应首先计算比较现有设备的剩余经济寿命和新设备的经济寿命,然后利用逐年滚动计算方法进行比较。
如果不遵循这些原则,方案比选结果或更新时机的确定可能发生错误。
1Z101053设备更新方案的比选方法
设备在使用过程中,由于有形磨损和无形磨损的共同作用,在设备使用到一定期限时,就需要利用新设备进行更新。这种更新取决于设备使用寿命的效益或成本的高低。
一、设备寿命的概念
设备的寿命在不同需要情况下有不同的内涵和意义。现代设备的寿命,不仅要考虑自然寿命,而且还要考虑设备的技术寿命和经济寿命。
(一) 设备的自然寿命
设备的自然寿命,又称物质寿命。它是指设备从投入使用开始,直到因物质磨损严重而不能继续使用、报废为止所经历的全部时间。它主要是由设备的有形磨损所决定的。做好设备维修和保养可延长设备的物质寿命,但不能从根本上避免设备的磨损,任何一台设备磨损到一定程度时,都必须进行更新。因为随着设备使用时间的延长,设备不断老化,维修所支出的费用也逐渐增加,从而出现恶性使用阶段,即经济上不合理的使用阶段,因此,设备的自然寿命不能成为设备更新的估算依据。
(二)设备的技术寿命
由于科学技术迅速发展,一方面,对产品的质量和精度的要求越来越高;另一方面,也不断涌现出技术上更先进、性能更完善的机械设备,这就使得原有设备虽还能继续使用,但已不能保证产品的精度、质量和技术要求而被淘汰。因此,设备的技术寿命就是指设备从投入使用到因技术落后而被淘汰所延续的时间,也即是指设备在市场上维持其价值的时间,故又称有效寿命。例如一台电脑,即使完全没有使用过,它的功能也会被更为完善、技术更为先进的电脑所取代,这时它的技术寿命可以认为等于零。由此可见,技术寿命主要是由设备的无形磨损所决定的,它一般比自然寿命要短,而且科学技术进步越快,技术寿命越短。所以,在估算设备寿命时,必须考虑设备技术寿命期限的变化特点及其使用的制约或影响。
(三)设备的经济寿命
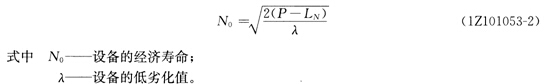
经济寿命是指设备从投入使用开始,到继续使用在经济上不合理而被更新所经历的时间。官是由设备维护费用的提高和使用价值的降低决定的。设备使用年限越长,所分摊的设备年资产消耗成本越少。但是随着设备使用年限的增加,一方面需要更多的维修费维持原有功能;另一方面设备的操作成本及原材料、能源耗费也会增加,年运行时间、生产效率、质量将下降。因此,年资产消耗成本的降低,会被年度运行成本的增加或收益的下降所抵消。在整个变化过程中存在着某一年份,设备年平均使用成本最低,经济效益最好,如图1Z101053所示,在N0年时,设备年平均使用成本达到最低值。我们称设备从开始使用到其年平均使用成本最小(或年盈利最高)的使用年限N0为设备的经济寿命。所以,设备的经济寿命就是从经济观点(即成本观点或收益观点)确定的设备更新的最佳时刻。

(四)设备寿命期限的影响因素
影响设备寿命期限的因素较多,其中主要有:
1.设备的技术构成,包括设备的结构及工艺性,技术进步;
2.设备成本;
3.力口工对象;
4.生产类型;
5.工作班次;
6.操作水平;
7.产品质量;
8.维护质量;
9.环境要求。
二、设备经济寿命的估算
(一)设备经济寿命的确定原则
确定设备经济寿命期的原则是:
1.使设备在经济寿命内平均每年净收益(纯利润)达到最大;
2.使设备在经济寿命内一次性投资和各种经营费总和达到最小。
(二)设备经济寿命的确定方法
确定设备经济寿命的方法可以分为静态模式和动态模式两种。下面仅介绍静态模式下设备经济寿命的确定方法。
静态模式下设备经济寿命的确定方法,就是在不考虑资金时间价值的基础上计算设备年平均使用成本CN0使CN为最小的N0就是设备的经济寿命。

P――设备目前实际价值,如果是新设备包括购置费和安装费,如果是旧设备包括旧设备现在的市场价值和继续使用旧设备追加的投资;
Ct――第t年的设备运行成本,包括人工费、材料费、能源费、维修费、停工损失、废次品损失等等;
LN――第N年末的设备净残值。

环球网校友情提示:如果您在此过程中遇到任何疑问,请登录环球网校一级建造师频道及考试论坛,随时与广大考生朋友们一起交流!
编辑推荐:
【例1Z101053-1】 某设备目前实际价值为30000元,有关统计资料见表1Z101053-1,求其经济寿命。
设备有关统计资料 单位:元 表1Z101053-1
|
继续使用年限z
|
1
|
2
|
3
|
4
|
5
|
6
|
7
|
|
年运行成本(元)
|
5000
|
6000
|
7000
|
9000
|
11500
|
14000
|
17000
|
|
年末残值(元)
|
15000
|
7500
|
3750
|
1 875
|
1 000
|
1 000
|
1 000
|
解:由统计资料可知,该设备在不同使用年限时的年平均成本如表1Z101053-2所示。由计算结果可以看出,该设备在使用5年时,其平均使用成本13500元为最低。因此,该设备的经济寿命为5年。
设备在不同使用年限时的静态年平均成本单位:元 表1Z101053-2

由式(1Z101053-1)和表(1Z101053-2)可以看到,用设备的年平均使用成本CN估算设备的经济寿命的过程是:在已知设备现金流量的情况下,逐年计算出从寿命1年到N年全部使用期的年平均使用成本CN,从中找出年平均使用成本CN的最小值及其所对应的年限,从而确定设备的经济寿命。
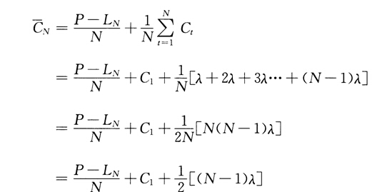
由于设备使用时间越长,设备的有形磨损和无形磨损越加剧,从而导致设备的维护修理费用增加越多,这种逐年递增的费用△Ct称为设备的低劣化。用低劣化数值表示设备损耗的方法称为低劣化数值法。如果每年设备的劣化增量是均等的,即△Ct=λ,每年劣化呈线性增长。假设评价基准年(即评价第一年)设备的运行成本为C1,则平均每年的设备使用成本CN可用下式表示:

要使CN为最小,设LN为一常数(如果LN不为常数且无规律可循时,需用列表法计算),对上式的N进行一阶求导,并令其导数为零,据此,可以简化经济寿命的计算,即:



环球网校友情提示:如果您在此过程中遇到任何疑问,请登录环球网校一级建造师频道及考试论坛,随时与广大考生朋友们一起交流!
编辑推荐:
最新资讯
- 【免费领取】2026年一建:从真题视角看备考这件事课程2025-11-20
- 【免费领取】还在为案例题发愁?2026年一建案例精批体验课让你快速提分!2025-11-14
- 【免费领取】一建重点知识闪记宝典,高分必备!2025-11-13
- 环球网校双11狂欢:一建考生锁定直播间,强师天团送免单!2025-11-11
- 一级建造师《法规》考点:社保与公积金必须同时缴纳!2025-11-11
- 2026年一级建造师必领!报考及备考资料包已备好2025-10-20
- 速来了解!2026年一级建造师教材何时出新书?2025-10-20
- 备考神器!2018-2025年一级建造师真题及答案免费下载!2025-10-14
- 备考一级建造师遇大爷夸赞?考生关注啦2025-10-13
- 考完一级建造师这样做,薪资翻倍!2025-09-25