2011造价工程师《造价法规》真题解析:单选三
课程推荐:精品VIP―网+面强势结合 全程领跑套餐―赢在起跑线上
相关推荐:2014年造价工程师在线模考 造价工程师备考指南
2011年注册造价工程师《工程造价法规及相关知识》真题解析
41.根据《关于实行建设项目法人责任制的暂行规定》,项目总经理的基本职责是( )。
A.筹措工程建设投资
B.组织工程建设实施
C.提出项目开工报告
D.审定债券偿还计划
【答案】B
【试题解析】项目总经理的职权有:组织编制项目初步设计文件,对项目工艺流程、设备选型、建设标准、总图布置提出意见,提交董事会审查;组织工程设计、施工监理、施工队伍和设备材料采购的招标工作,编制和确定招标方案、标底和评标标准,评选和确定投、中标单位。实行国际招标的项目,按现行规定办理;编制并组织实施项目年度投资计划、用款计划、建设进度计划;编制项目财务预、决算;编制并组织实施归还贷款和其他债务计划;组织工程建设实施,负责控制工程投资、工期和质量;在项目建设过程中,在批准的概算范围内对单项工程的设计进行局部调整(凡引起生产性质、能力、产品品种和标准变化的设计调整以及概算调整,需经董事会决定并报原审批单位批准);根据董事会授权处理项目实施中的重大紧急事件,并及时向董事会报告;负责生产准备工作和培训有关人员;负责组织项目试生产和单项工程预验收;拟订生产经营计划、企业内部机构设置、劳动定员定额方案及工资福利方案;组织项目后评价,提出项目后评价报告;按时向有关部门报送项目建设、生产信息和统计资料;提请董事会聘任或解聘项目高级管理人员。
42.关于Partnering模式的说法,正确的是( )。
A.Partnering协议是业主与承包商之间的协议
B.Partnering模式是一种独立存在的承发包模式
C.Partnering模式特别强调工程参建各方基层人员的参与
D.Partnering协议不是法律意义上的合同
【答案】D
【试题解析】Partnering模式的主要特征:(1)出于自愿。(2)高层管理的参与。(3)Partnering协议不是法律意义上的合同。(4)信息的开放性。
43.下列工程项目管理组织机构形式中,具有较大的机动性和灵活性,能够实现集权与分权的最优组合,但因有双重领导,容易产生扯皮现象的是( )。
A.矩阵制
B.直线职能制
C.直线制
D.职能制
【答案】A
【试题解析】矩阵制组织机构的优点是能根据工程任务的实际情况灵活地组建与之相适应的管理机构,具有较大的机动性和灵活性。它实现了集权与分权的最优结合,有利于调动各类人员的工作积极性,使工程项目管理工作顺利地进行。但是,矩阵制组织机构经常变动,稳定型差,尤其是业务人员的工作岗位频繁调动。此外,矩阵中的每一个成员都受项目经理和职能部门经理的双重领导,如果处理不当,会造成矛盾,产生扯皮现象。
44.下列进度计划表中,用来确定年度施工项目的投资额和年末形象进度,并说明建设条件落实情况的是( )。
A.投资计划年度分配表
B.年度建设资金平衡表
C.年度计划项目表
D.工程项目进度平衡表
【答案】C
【试题解析】年度计划项目表。用来确定年度施工项目的投资额和年末形象进度,并阐明建设条件(图纸、设备、材料、施工力量)的落实情况。
45.下列工程项目目标控制方法组中,控制的原理基本相同,目的也相同的是( )。
A.香蕉曲线法和S曲线法
B.网络计划法和香蕉曲线法
C.排列图法和网络计划法
D.S曲线法和排列图法
【答案】A
【试题解析】香蕉曲线法的原理与S曲线法的原理基本相同,其主要区别在于:香蕉曲线是以工程网络计划为基础绘制的。与S曲线法相同,香蕉曲线同样可用来控制工程造价和工程进度。
46.建设工程流水施工中,某专业工程队在一个施工段上的施工时间称为( )。
A.流水步距
B.流水节拍
C.流水强度
D.流水节奏
【答案】B
【试题解析】流水节拍是指在组织流水施工时,某个专业工作队在一个施工段上的施工时间。
47.关于建设工程等步距异节奏流水施工特点的说法,正确的是( )。
A.专业工程队数等于施工过程数
B.流水步距等于流水节拍
C.施工段之间可能存在空闲时间
D.同施工过程各个施工段的流水节拍相等。
【答案】D
【试题解析】成倍节拍(等步距异节奏)流水施工的特点如下:
①同一施工过程在其各个施工段上的流水节拍均相等;不同施工过程的流水节拍不等,但其值为倍数关系;
②相邻施工过程的流水步距相等,且等于流水节拍的最大公约数(K);
③专业工作队数大于施工过程数,即有的施工过程只成立一个专业工作队,而对于流水节拍大的施工过程,可按其倍数增加相应专业工作队数目;
④各个专业工作队在施工段上能够连续作业,施工段之间没有空闲时间。
48.某分部工程划分为3个施工过程,4个施工段组织流水施工,流水节拍分别为3、5、4、4天,4、4、3、4天和3、4、2、3天,则流水施工工期( )天。
A.19
B.20
C.21
D.23
【答案】D
【试题解析】(1)求各施工过程流水节拍的累加数列:
施工过程Ⅰ:3,8,12,16
施工过程Ⅱ:4,8,11,15
施工过程Ⅲ:3,7,9,12
(2)错位相减求得差数列:

(3)在差数列中取最大值求得流水步距:
施工过程Ⅰ与Ⅱ之间的流水步距:
=5(天)
施工过程Ⅱ与Ⅲ之间的流水步距:
(天)
3.流水施工工期的确定
流水施工工期可按公式计算:
=5+6+12=23天。
49.在工程网络计划中,关键工作是指( )的工作。
A.时间间隔为零
B.自由时差最小
C.总时差最小
D.流水步距为零
【答案】C
【试题解析】总时差最小的工作为关键工作。特别地,当网络计划的计划工期等于计算工期时,总时差为零的工作就是关键工作。
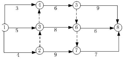
50.某工程双代号网络计划如下图所示,其中关键线路有( )条。
A.4
B.3
C.2
D.1

【答案】C
【试题解析】采用标号法确定关键线路有两条:①→③→⑥→⑦→⑧和①→②→⑦→⑧。
51.在建设工程方案一定的前提下,工程费用会因工期的不同而不同,随着工期的缩短,工期费用的变化趋势是( )
A.直接费增加,间接费减少
B.直接费和间接费均增加
C.直接费减少,间接费增加
D.直接费和间接费均减少
【答案】A
【试题解析】如果施工方案一定,工期不同,直接费也不同。直接费会随着工期的缩短而增加。间接费包括企业经营管理的全部费用,它一般会随着工期的缩短而减少。
52.下列方法中,可用于建设工程风险分析与评价的是( )
A.头脑风暴法
B.流样图法
C.计划评审技术法
D.财务报表法
【答案】C
【试题解析】目前,常用的项目风险分析与评价的方法主要有调查打分法、蒙特卡洛模拟法、计划评审技术法和敏感性分析法等。
53.关于动产所有权转移的说法,正确的是( )
A.动产不动产均以登记为准
B.动产不动产均以交付为准
C.动产以登记为准,不动产以交付为准
D.动产以交付为准,不动产以登记为准
【答案】D
【试题解析】财产所有权的转移包括动产所有权的转移和不动产所有权的转移。对于动产所有权的转移,一般以交付为准,不动产(如房地产)所有权的转移则以登记为准。
54.因施工单位拒付施工机械租金,施工机械租赁单位提起诉讼的,其诉讼时效期限为( )年。
A.1
B.2
C.4
D.5
【答案】A
【试题解析】我国《民法通则》规定,向人民法院请求保护民事权利的诉讼时效期间为2年。
对于下列诉讼,其时效期间为1年:
(1)身体受到伤害要求赔偿的;
(2)出售质量不合格的商品未声明的;
(3)延付或者拒付租金的;
(4)寄存财产被丢失或者损毁的。
55.根据《合同法》,下列关于承诺的说法,正确的是( )。
A.发由后的承诺通知不得撤回
B.承诺通知到达要约人时生效
C.超过承诺期限发出的承诺视为新要约
D.承诺的内容可以与要约的内容不一至
【答案】B
【试题解析】承诺通知可以撤回;承诺通知到达要约人时生效;受要约人超过承诺期限发出承诺的,除要约人及时通知受要约人该承诺有效的以外,为新要约;承诺的内容应当与要约的内容一致。
56.根据《合同法》,下列各类合同中,属于可变更或可撤销合同的是( )
A.以合同形式掩盖非法目的的合同
B.损害社会公共利益的合同
C.一方以胁迫手段订立的合同
D.恶意串通损害集体利益的合同
【答案】C
【试题解析】当事人一方有权请求人民法院或者仲裁机构变更或者撤销的合同有:
(1)因重大误解订立的;
(2)在订立合同时显失公平的。
一方以欺诈、胁迫的手段或者乘人之危,使对方在违背真实意思的情况下订立的合同,受损害方有权请求人民法院或者仲裁机构变更或者撤销。
57.根据《招标投标法》,下列关于招标投票的说法,正确的是( )
A.招标分为公开招标、邀请招标和议标三种方式
B.联合体中标后,联合体各方应分别与招标人签订合同
C.招标人不得修改已发出的招标文件
D.投标文件应当对招标文件提出的实质性要求和条件作出响应
【答案】D
【试题解析】招标分为公开招标、邀请招标两种方式;联合体各方应当签订共同投标协议,明确约定各方拟承担的工作和责任,并将共同投标协议连同投标文件一并提交给招标人。联合体中标的,联合体各方应当共同与招标人签订合同,就中标项目向招标人承担连带责任。招标人对已发出的招标文件进行必要的澄清或者修改的,应当在招标文件要求提交投标文件截止时间至少15日前,以书面形式通知所有招标文件收受人。该澄清或者修改的内容为招标文件的组成部分。投标人应当按照招标文件的要求编制投标文件。投标文件应当对招标文件提出的实质性要求和条件作出响应。
58.根据《政府采购法》,可采用竞争性谈判方式进行货物或服务政府采购的情形是( )
A.只能从唯一供应商处采购
B.不能事先计算出价格总额
C.采用招标方式花费的成本较大
D.货源充足且价格变化幅度小
【答案】B
【试题解析】符合下列情形之一的货物或服务,可采用竞争性谈判方式采购:
(1)招标后没有供应商投标或没有合格标的或重新招标未能成立;
(2)技术复杂或性质特殊,不能确定详细规格或具体要求;
(3)采用招标所需时间不能满足用户紧急需要;
(4)不能事先计算出价格总额。
59.根据《土地管理法》,征收耕地时,每一个需要安置的农村人口的安置补助费为该耕地被征收前3年平均年产值的( )倍
A.4-6
B.5-8
C.6-10
D.10-15
【答案】A
【试题解析】根据《土地管理法》,每一个需要安置的农业人口的安置补助费标准,为该耕地被征收前3年平均年产值的4至6倍。但是,每公顷被征收耕地的安置补助费,最高不得超过被征收前3年平均年产值的15倍。
60.除人寿保险外,其他保险的被保险人或受益人,对保险人请求赔偿或者给付保险金的权利.自其知道保险事故发生之日起( )年不行使而清灭
A.5
B.3
C.2
D.1
【答案】C
【试题解析】人寿保险的被保险人或者受益人对保险人请求给付保险金的权利,自其知道保险事故发生之日起5年不行使而消灭;其他保险的被保险人或者受益人,对保险人请求赔偿或者给付保险金的权利,自其知道保险事故发生之日起2年不行使而消灭。
环球网校友情提示:如果您在此过程中遇到任何疑问,请登录环球网校造价工程师考试频道及论坛,随时与广大考生朋友们一起交流!
更多造价工程师信息:
编辑推荐:
最新资讯
- 更新版:2025年一级造价师案例考试真题及答案(1-3题)2025-10-27
- 速领!2025年一级造价师各科目考试真题及答案【完整版】2025-10-26
- 2025年一级造价师《案例分析》真题解析(试题三)2025-10-25
- 2025年一级造价师《安装计量》真题答案61-70题2025-10-23
- 2025年一级造价师《安装计量》真题答案41-50题2025-10-23
- 2025年一级造价师《安装计量》真题及答案31-40题2025-10-23
- 2025年一级造价师《安装计量》真题答案21-30题2025-10-23
- 2025年一级造价师《案例分析》考试真题及答案(试题一)2025-10-23
- 2025年一级造价师案例真题及答案试题五(土建专业)2025-10-22
- 2025年一级造价师《土建计量》考试真题答案51-60题2025-10-22