2010年注会《战略与风险》预习:风险和报酬(6)
更新时间:2009-11-23 09:01:04
来源:|0
浏览
收藏
注册会计师报名、考试、查分时间 免费短信提醒
四、资本资产定价模型??研究充分组合情况下风险与要求的收益率之间的均衡关系。
1、系统风险的衡量转自环 球 网 校edu24ol.com
(1)单项资产的ß系数
度量一项资产系统风险的指标是贝他系数,用希腊字母ß表示,定义为某个资产的收益率与市场组合之间的相关性。

根据上面的式子可看出:
某种股票β值的大小取决于:
该股票与整个市场的相关性;它自身的标准差;整个市场的标准差
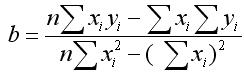
②回归直线法:根据数理统计的线性回归原理,β系数可以通过同一时期内的资产收益率和市场组合收益率的历史数据,使用线性回归方程预测出来。β系数就是该线性回归方程的回归系数。
y=a+bx,其中b就是该股票的ß

如果β =1时,表示该单项资产的收益率与市场平均收益率呈相同比例的变化,其风险情况与市场投资组合的风险情况一致;
如果 β>1,说明该单项资产的风险大于整个市场投资组合的风险;
如果 β<1,说明该单项资产的风险程度小于整个市场投资组合的风险。
注意:无风险资产没有风险,因此无风险资产的β值为零转自环 球 网 校edu24ol.com
市场组合与其本身的系统风险是相等,因此市场组合的β值为1。
环球网校2010年注册会计师考试网上辅导招生简章
编辑推荐
最新资讯
- 2026年注册会计师经济法口诀,50个考点快速记忆2025-12-26
- 2026年注会会计科目各章节重点标注,客观题至少要拿到35分2025-12-25
- 2026年注册会计师备考资料包:三色笔记+记忆口诀+历年真题等2025-12-23
- 2026新版备考cpa各科日程表,零基础全年备考路线图2025-12-22
- 快来打印!2026年注会六科全年学习打卡表.PDF版2025-12-12
- 2026年注会《审计》50个速记口诀,再也不用死记硬背2025-12-08
- 免费领!2026年注册会计师6科学习打卡表,保姆级备考指导2025-12-05
- 2026年注会cpa《战略》学习打卡表,告诉你如何高效备考2025-12-04
- 不是死记硬背!2026版注会《经济法》学习打卡表,这样安排才高效2025-12-03
- 2026年注册会计师《税法》学习打卡表,告诉你税法该怎么学2025-12-03


