2010注会《财务成本管理》辅导:筹资管理(4)
更新时间:2010-04-07 10:36:49
来源:|0
浏览
收藏
注册会计师报名、考试、查分时间 免费短信提醒
(二)资金习性预测法的基本方法(回归直线法和高低点法)
1、根据资金占用总额与产销量关系来预测
设产销量为自变量x,资金占用量为因变量y,它们之间的关系可用下式表示:
y=a+bx
式中:a为不变资金,
b为单位产销量所需变动资金,其数值可采用高低点法或回归直线法求得。
利用回归直线法预测:转自环 球 网 校edu24ol.com
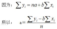
(1) 计算a和b
建立联立方程

可以只记忆b的计算公式,然后再求解a,具体如下:

(2)建立总资金需求模型y=a+bx
(3)将预测期自变量代入y=a+bx,即可求出预测期的资金需要量。
例题见教材【例8-1】
回归直线法对于中短期预测的效果比长期预测的效果好。
2010年注册会计师辅导优惠套餐 转自环 球 网 校edu24ol.com
编辑推荐
最新资讯
- 快来打印!2026年注会六科全年学习打卡表.PDF版2025-12-12
- 2026年注会《审计》50个速记口诀,再也不用死记硬背2025-12-08
- 免费领!2026年注册会计师6科学习打卡表,保姆级备考指导2025-12-05
- 2026年注会cpa《战略》学习打卡表,告诉你如何高效备考2025-12-04
- 不是死记硬背!2026版注会《经济法》学习打卡表,这样安排才高效2025-12-03
- 2026年注册会计师《税法》学习打卡表,告诉你税法该怎么学2025-12-03
- 上岸必看!2026年cpa《财务成本管理》学习计划表,省时省力2025-12-03
- 别再乱学了!2026年注会《审计》学习计划表,为你整理详细备考规划2025-12-03
- 2026年注册会计师《会计》学习计划表:各章节学习顺序及时长分配2025-12-03
- 【热门资料】注册会计师6科《三色笔记》免费领2025-11-18


