2011注会《财务成本管理》辅导:第四章节(5)
更新时间:2010-10-29 09:20:10
来源:|0
浏览
收藏
注册会计师报名、考试、查分时间 免费短信提醒
二、风险计量
(一)概率分布
1、概率:用百分数或小数来表示随机事件发生的可能性及出现某种结果可能性大小的数值。
通常必然发生的事件的概率为1;
不可能发生事件的概率为0;
一般随机事件的概率介乎于0和1之间;
所有可能结果出现的概率之和为1.
2、概率分布:是指一项活动可能出现的所有结果的概率集合。
(1)离散型概率分布:可能出现的结果只取有限个值。
(2)连续型概率分布:可能出现的结果有无数个值。
(二)期望值
1、含义:一个概率分布中所有可能结果,以各自相应的概率为权数计算的加权平均值。
2、计算:

(三)方差、标准差、变化系数(针对单项资产而言)
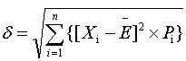
1、方差:是用来表示随机变量与期望值之间离散程度的一个量。

2、标准差:是反映概率分布中各种可能结果对期望值的偏离程度。是方差的平方根。

注意:方差、标准差以绝对值衡量决策方案的风险,在期望值相同的情况下,方差、标准差越大,风险越大;反之,方差、标准差越小,则风险越小。在期望值不同时,方差和标准差没有直接可比性。
3、变化系数---也称为标准离差率、变异系数或标准差系数
变化系数是标准差与期望值之比,即单位预期值所承担的标准差。

变化系数是一个相对指标,它以相对数反映决策方案的风险程度。在期望值不同的情况下,变化系数越大,风险越大;相反,变化系数越小,风险越小。
编辑推荐
最新资讯
- 2026年注会教材变动解析直播,抢先免费预约2026-03-10
- 备考进度落后?2026注会每日打卡计划表,专治拖延症2026-03-04
- 【2026女神节专属福利】环球网校cpa课程全场5折起,赠备考资料大礼包2026-02-28
- 拿到2026年cpa教材后先做“减法”,精准梳理教材变动核心2026-02-25
- 别再死磕厚教材!注册会计师三色笔记,视觉记忆效率翻倍2026-02-23
- 太难背?学霸私藏的注册会计师记忆口诀,免费领取2026-02-22
- 【免费领取】吃透这份注册会计师6科高频考点,稳抓基础分2026-02-21
- 2026年注会税法各章知识点汇总,各章考情一目了然2026-02-09
- 2026年注册会计师审计口诀来了,告别死记硬背2026-02-03
- cpa三色笔记2026年PDF版,免费领取2026-01-26


