2011注会《财务成本管理》辅导:第五章节(7)
更新时间:2010-11-25 09:28:01
来源:|0
浏览
收藏
注册会计师报名、考试、查分时间 免费短信提醒
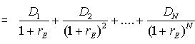
(二)两阶段模型
股票价值=高速增长阶段股利现值+正常增长阶段股利现值
1、高速增长阶段股利现值
=高速增长阶段各年股利*复利现值系数

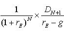
2、正常增长阶段股利现值=
【教材例5-7】某公司决定将所有收益进行再投资以扩大经营。在过去的1年,公司的收益是每股2元,期望以后每年的收益增长率为20%,直到第4年末。到那时,其他公司很可能也推出有竞争力的类似产品。分析师预计,在第4年末,公司将削减投资,开始将60%的收益作为股利发放,于是公司的增长将放缓,长期增长率变为4%。如果公司的股权资本成本是8%,今天的每股价值为多少?
【解析】
预测未来每股收益和每股股利
|
年 份 |
0 |
1 |
2 |
3 |
4 |
5 |
|
EPS的增长率(相对于上年) EPS 股利支付率 股利 |
2.00 |
20% 2.40 O% — |
20% 2.88 O% — |
20% 3.46 0% — |
20% 4.15 60% 2.49 |
4% 4.31 60% 2.59 |

高速增长阶段股利现值=2.49*(P/S,8%,4)
=2.49*0.735
=1.83(元)
常增长阶段股利现值=[2.59/(8%-4%)]*(P/S,8%,4)(元)
=47.59(元)
每股价值=1.83+47.59=49.42(元)
编辑推荐
最新资讯
- 2026年注会教材变动解析直播,抢先免费预约2026-03-10
- 备考进度落后?2026注会每日打卡计划表,专治拖延症2026-03-04
- 【2026女神节专属福利】环球网校cpa课程全场5折起,赠备考资料大礼包2026-02-28
- 拿到2026年cpa教材后先做“减法”,精准梳理教材变动核心2026-02-25
- 别再死磕厚教材!注册会计师三色笔记,视觉记忆效率翻倍2026-02-23
- 太难背?学霸私藏的注册会计师记忆口诀,免费领取2026-02-22
- 【免费领取】吃透这份注册会计师6科高频考点,稳抓基础分2026-02-21
- 2026年注会税法各章知识点汇总,各章考情一目了然2026-02-09
- 2026年注册会计师审计口诀来了,告别死记硬背2026-02-03
- cpa三色笔记2026年PDF版,免费领取2026-01-26


