2011注会《财务成本管理》辅导:第七章节(7)
更新时间:2011-01-14 10:08:11
来源:|0
浏览
收藏
注册会计师报名、考试、查分时间 免费短信提醒
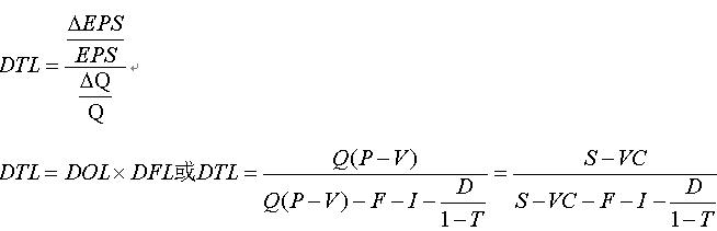
三.公司总风险与复合杠杆
公司总风险是指财务风险和经营风险之和。总风险分析通常是用复合杠杆来衡量。
通常把经营杠杆和财务杠杆的连锁作用称为复合杠杆(总杠杆)作用。总杠杆的作用程度,可用总杠杆系数表示,它是经营杠杆系数和财务杠杆系数的乘积。
其计算公式为:

一般来说,公司的总杠杆系数越大,每股收益随销售量增长而扩张的能力就越强,但风险也随之越大。公司的风险越大,债权人和投资者要求的贷款利率和预期的投资报酬率就越高。或者说,过多使用总杠杆的公司将不得不为此付出较高的固定成本。
公司对财务风险的控制程度相对而言大于对经营风险的控制。
【典型例题--02年单选】某公司的经营杠杆系数为1.8,财务杠杆系数为1.5,则该公司销售额每增长1倍,就会造成每股收益增加( )。
A.1.2倍 B.1.5倍
C.0.3倍 D.2.7倍
【答案】D
【解析】本题的主要考核点是总杠杆的含义。总杠杆的作用程度,可用总杠杆系数表示,它是经营杠杆系数和财务杠杆系数的乘积,其计算公式为:
DTL=DOL×DFL=1.8×1.5=2.7
编辑推荐
最新资讯
- 2026年注会教材变动解析直播,抢先免费预约2026-03-10
- 备考进度落后?2026注会每日打卡计划表,专治拖延症2026-03-04
- 【2026女神节专属福利】环球网校cpa课程全场5折起,赠备考资料大礼包2026-02-28
- 拿到2026年cpa教材后先做“减法”,精准梳理教材变动核心2026-02-25
- 别再死磕厚教材!注册会计师三色笔记,视觉记忆效率翻倍2026-02-23
- 太难背?学霸私藏的注册会计师记忆口诀,免费领取2026-02-22
- 【免费领取】吃透这份注册会计师6科高频考点,稳抓基础分2026-02-21
- 2026年注会税法各章知识点汇总,各章考情一目了然2026-02-09
- 2026年注册会计师审计口诀来了,告别死记硬背2026-02-03
- cpa三色笔记2026年PDF版,免费领取2026-01-26


