2011注会《财务成本管理》辅导:第八章节(18)
四、租赁决策
(一)租赁的现金流量
(二)租赁与购买的比较
教材例题【例8-10】A公司是一个制造企业,拟添置一台设备,该设备预计使用5年,正在研究是通过自行购置还是租赁取得。有关资料如下:
(1)如果自行购置该设备,预计购置成本1260万元。该项固定资产的税法折旧年限为7年,法定残值率为5%。预计该资产5年后变现价值为350万元。
(2)如果以租赁方式取得该设备,B租赁公司要求每年租金275.0557万元,租期5年,租金在每年末支付,租赁期内不得退租。
(3)假设A公司的所得税率40%(主要为方便计算),税前借款(有担保)利率10%。项目要求的必要报酬率12%。
(4)合同规定在租赁期满租赁资产归承租人所有,并为此需向出租人支付资产余值价款350万元。
要求,
(1)根据以上资料,对于A公司租赁方案和自行购置方案进行分析评价。
(2)根据以上资料,对于B公司出租方案进行分析评价。假设出租人B公司的租赁资产购置成本、折旧政策、所得税税率、对租赁资产期末余值的预期以及有关的资本成本均与承租人相同,并假设没有其他付现成本。
分析过程:
1、承租人的分析
(1)判断租赁的性质
租赁期满租赁资产归承租人所有,因此该租赁属于“融资租赁”
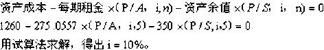
(2)计算“内含利息率”???使得现金流入的现值等于现金流出现值的折现率

(3)确定现金流量
租金包括归还的本金和支付的利息两部分。
租金不可以直接抵税,但租金中包含的利息可以抵税,所以根据内含利率可以将租金分解为还本金额与付息金额。
支付的利息=未还本金数×内含利息率
|
年份 |
0 |
1 |
2 |
3 |
4 |
5 |
|
支付租金 |
|
275.0557 |
275.0557 |
275.0557 |
275.0557 |
275.0557 |
|
税前利息率 |
|
10% |
10% |
10% |
10% |
10% |
|
支付利息 |
|
126 |
111.094 |
94.698 |
76.663 |
56.823 |
|
归还本金 |
|
149.056 |
163.961 |
180.357 |
198.393 |
218.232 |
|
未还本金 |
1260 |
1110.944 |
946.983 |
766.626 |
568.232 |
350 |
最新资讯
- 2026年注会教材变动解析直播,抢先免费预约2026-03-10
- 备考进度落后?2026注会每日打卡计划表,专治拖延症2026-03-04
- 【2026女神节专属福利】环球网校cpa课程全场5折起,赠备考资料大礼包2026-02-28
- 拿到2026年cpa教材后先做“减法”,精准梳理教材变动核心2026-02-25
- 别再死磕厚教材!注册会计师三色笔记,视觉记忆效率翻倍2026-02-23
- 太难背?学霸私藏的注册会计师记忆口诀,免费领取2026-02-22
- 【免费领取】吃透这份注册会计师6科高频考点,稳抓基础分2026-02-21
- 2026年注会税法各章知识点汇总,各章考情一目了然2026-02-09
- 2026年注册会计师审计口诀来了,告别死记硬背2026-02-03
- cpa三色笔记2026年PDF版,免费领取2026-01-26


