2011注会《财务成本管理》辅导:第十章节(3)
第三节 折现的现金流估值法
计算企业自由现金流量
本节知识体系 使用加权平均法评估企业价值(WACC法)
调整现值法(APV)
股权自由现金流量法(FTE)
本节具体内容:
一、企业自由现金流量
1、企业自由现金流量(FCF)的含义
企业自由现金流量是企业可向所有投资者(包括债权人和股东)支付的现金流量。
2、企业自由现金流量的计算
企业自由现金流量
=息税前利润EBIT×(1-所得税税率T)+折旧-资本支出-净营运资本的增加
(1)息税前利润EBIT×(1-所得税税率T)称为“无杠杆净收益”,也就是税后经营利润。
(2)资本支出指用于购置各种长期资产的支出.一般情况下,长期资产只包括固定资产,不考虑其他复杂因素,则
资本支出=购置固定资产的支出
=固定资产的增加额+折旧
(3)净营运资本增加=本年净营运资本-上年净营运资本
3、当前企业价值的计算
企业自由现金流量可分为两个阶段:预测期和后续期。后续期是预测期以后的无限时期。
当前企业价值=预计未来各年企业自由现金流量的现值
=预测期企业自由现金流量的现值+后续期企业自由现金流量的现值
=预测期企业自由现金流量的现值+持续价值的现值
预测期期末价值称为持续价值,也就是后续期企业自由现金流量折现到预测期期末的价值。
假设N为预测期。
后续期自由现金流量按固定的增长率
增长。则
持续价值

分析过程:
(1)计算预测期(20×2-20×7年)各年企业自由现金流量
企业自由现金流量
=息税前利润EBIT×(1-所得税税率T)+折旧-资本支出-净营运资本的增加
由于折旧与资本支出相等,所以
企业自由现金流量
=息税前利润EBIT×(1-所得税税率T)-净营运资本的增加
其中,
净营运资本的增加=销售收入增加额×10%
=(本年销售收入-上年销售收入)×10%
或者:
=上年销售收入×销售增长率×10%
(2)计算预测期企业自由现金流量的现值
3345×(P/S,12%,1)+3664×(P/S,12%,2)+3977×(P/S,12%,3)+4277×(P/S,12%,4)+4556×(P/S,12%,5)+4807×(P/S,12%,6)
=16477万元
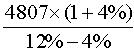
(3)计算持续价值(将20×8年及以后的自由现金流量折现到20×7年年末的价值)
持续价值= =62491万元
注:本题中虽然没有直接给出后续期自由现金流量的增长率,但可以通过题目中的已知资料推导出后续期的销售增长率就等于后续期自由现金流量的增长率。
例:
①EBIT为销售收入的9%,所以销售的增长率等于EBIT的增长率,都等于4%;
②净营运资本需求的增加额是销售收入增加额的10%,所以后续期销售收入增长率等于净营运资本增加额的增长率。
2007年净营运资本增加额=2006年销售收入*4%*10%
2008年净营运资本增加额=2007年销售收入*4%*10%
=2006年销售收入*(1+4%)*4%*10%
=2007年净营运资本增加额*(1+4%)
(4)计算持续价值的现值
后续期自由现金流量的现值=62491×(P/S,12%,6)
=62491×0.5066=31658万元
(5)计算企业价值
企业价值=16477+31658=48135万元
最新资讯
- 2026新版备考cpa各科日程表,零基础全年备考路线图2025-12-22
- 快来打印!2026年注会六科全年学习打卡表.PDF版2025-12-12
- 2026年注会《审计》50个速记口诀,再也不用死记硬背2025-12-08
- 免费领!2026年注册会计师6科学习打卡表,保姆级备考指导2025-12-05
- 2026年注会cpa《战略》学习打卡表,告诉你如何高效备考2025-12-04
- 不是死记硬背!2026版注会《经济法》学习打卡表,这样安排才高效2025-12-03
- 2026年注册会计师《税法》学习打卡表,告诉你税法该怎么学2025-12-03
- 上岸必看!2026年cpa《财务成本管理》学习计划表,省时省力2025-12-03
- 别再乱学了!2026年注会《审计》学习计划表,为你整理详细备考规划2025-12-03
- 2026年注册会计师《会计》学习计划表:各章节学习顺序及时长分配2025-12-03


