2011财务成本管理 辅导:第十三章节(23)
更新时间:2011-05-31 09:29:09
来源:|0
浏览
收藏
注册会计师报名、考试、查分时间 免费短信提醒
(四)零部件自制与否决策
1、企业已经具备自制能力,且零部件的全年需用量为固定常数。
(1)自制能力无法转移。
自制零部件的相关成本是按零部件的全年需用量计算的变动生产成本。
外购零部件的相关成本是按零部件的全年需用量计算的采购成本。
决策:直接比较自制零部件的单位变动生产成本和外购单价的大小,选择二者较小者。
中选方案比放弃方案所节约的成本等于上述两个因素之差乘以零部件全年需用量。
见教材【例14-25】
(2)自制能力可以转移
自制零部件的相关成本包括按零部件全年需用量计算的变动生产成本和与自制能力转移有关的机会成本。
决策方法:相关成本分析法
决策步骤:自制零件的相关成本=机会成本+变动成本
外购零件的相关成本=变动成本=单价×零部件全年需用量
比较二者大小,选择相关成本较小方案。
见教材【例14-26】
2、企业尚不具备自制能力,且零部件的全年需用量不确定
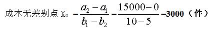
决策方法:成本无差别点法
决策步骤:
(1)计算成本无差别点业务量

(2)决策:
若业务量大于成本无差别点时X0 ,则固定成本较高的方案优于固定成本较低的方案。
若业务量小于成本无差别点时X0 ,则固定成本较低的方案优于固定成本较高的方案。
本题中:
乙零件全年需用量在0―3000之间变动时,应安排外购;当超过3000件时,应自制。
(五)联产品深加工与否决策
联产品是否深加工的决策就是围绕究竟是选择“深加工联产品”方案还是选择“直接出售联产品”方案而展开的决策。涉及到“深加工联产品”的方案和“直接出售联产品”方案。
编辑推荐
最新资讯
- 快来打印!2026年注会六科全年学习打卡表.PDF版2025-12-12
- 2026年注会《审计》50个速记口诀,再也不用死记硬背2025-12-08
- 免费领!2026年注册会计师6科学习打卡表,保姆级备考指导2025-12-05
- 2026年注会cpa《战略》学习打卡表,告诉你如何高效备考2025-12-04
- 不是死记硬背!2026版注会《经济法》学习打卡表,这样安排才高效2025-12-03
- 2026年注册会计师《税法》学习打卡表,告诉你税法该怎么学2025-12-03
- 上岸必看!2026年cpa《财务成本管理》学习计划表,省时省力2025-12-03
- 别再乱学了!2026年注会《审计》学习计划表,为你整理详细备考规划2025-12-03
- 2026年注册会计师《会计》学习计划表:各章节学习顺序及时长分配2025-12-03
- 【热门资料】注册会计师6科《三色笔记》免费领2025-11-18


