财务成本管理 辅导讲义:杠杆原理(4)
更新时间:2011-08-30 10:37:53
来源:|0
浏览
收藏
注册会计师报名、考试、查分时间 免费短信提醒
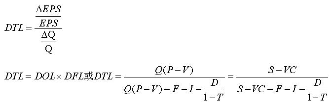
三.公司总风险与复合杠杆
公司总风险是指财务风险和经营风险之和。总风险分析通常是用复合杠杆来衡量。
通常把经营杠杆和财务杠杆的连锁作用称为复合杠杆(总杠杆)作用。总杠杆的作用程度,可用总杠杆系数表示,它是经营杠杆系数和财务杠杆系数的乘积。
其计算公式为:

一般来说,公司的总杠杆系数越大,每股收益随销售量增长而扩张的能力就越强,但风险也随之越大。公司的风险越大,债权人和投资者要求的贷款利率和预期的投资报酬率就越高。或者说,过多使用总杠杆的公司将不得不为此付出较高的固定成本。
公司对财务风险的控制程度相对而言大于对经营风险的控制。
【典型例题--02年单选】某公司的经营杠杆系数为1.8,财务杠杆系数为1.5,则该公司销售额每增长1倍,就会造成每股收益增加( )。
A.1.2倍 B.1.5倍
C.0.3倍 D.2.7倍
【答案】D
【解析】本题的主要考核点是总杠杆的含义。总杠杆的作用程度,可用总杠杆系数表示,它是经营杠杆系数和财务杠杆系数的乘积,其计算公式为:
DTL=DOL×DFL=1.8×1.5=2.7
编辑推荐
最新资讯
- 快来打印!2026年注会六科全年学习打卡表.PDF版2025-12-12
- 2026年注会《审计》50个速记口诀,再也不用死记硬背2025-12-08
- 免费领!2026年注册会计师6科学习打卡表,保姆级备考指导2025-12-05
- 2026年注会cpa《战略》学习打卡表,告诉你如何高效备考2025-12-04
- 不是死记硬背!2026版注会《经济法》学习打卡表,这样安排才高效2025-12-03
- 2026年注册会计师《税法》学习打卡表,告诉你税法该怎么学2025-12-03
- 上岸必看!2026年cpa《财务成本管理》学习计划表,省时省力2025-12-03
- 别再乱学了!2026年注会《审计》学习计划表,为你整理详细备考规划2025-12-03
- 2026年注册会计师《会计》学习计划表:各章节学习顺序及时长分配2025-12-03
- 【热门资料】注册会计师6科《三色笔记》免费领2025-11-18


