2012年财务成本管理 预习辅导:第三章节(10)
更新时间:2012-01-19 09:54:24
来源:|0
浏览
收藏
注册会计师报名、考试、查分时间 免费短信提醒
(四)协方差与相关系数(针对资产组合而言)
1、资产组合:是指两种或两种以上的资产构成的组合,又称为投资组合。
投资组合理论认为,若干种证券组成的投资组合,其报酬是证券报酬的加权平均数,但其风险不是这些证券风险的加权平均风险,投资组合能降低风险。
2、投资组合报酬率概率分布的标准差计算公式:

AJ------------第j种证券在全部投资额中的比重
m------------是组合中的证券种类总数
ojk--------称为协方差
3、协方差:衡量两种证券之间共同变动的程度。

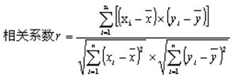
4、相关系数

相关系数总是在【-1,+1】间取值。

注会辅导六折七日免费试听
编辑推荐
最新资讯
- 快来打印!2026年注会六科全年学习打卡表.PDF版2025-12-12
- 2026年注会《审计》50个速记口诀,再也不用死记硬背2025-12-08
- 免费领!2026年注册会计师6科学习打卡表,保姆级备考指导2025-12-05
- 2026年注会cpa《战略》学习打卡表,告诉你如何高效备考2025-12-04
- 不是死记硬背!2026版注会《经济法》学习打卡表,这样安排才高效2025-12-03
- 2026年注册会计师《税法》学习打卡表,告诉你税法该怎么学2025-12-03
- 上岸必看!2026年cpa《财务成本管理》学习计划表,省时省力2025-12-03
- 别再乱学了!2026年注会《审计》学习计划表,为你整理详细备考规划2025-12-03
- 2026年注册会计师《会计》学习计划表:各章节学习顺序及时长分配2025-12-03
- 【热门资料】注册会计师6科《三色笔记》免费领2025-11-18


