电气工程师辅导资料:正弦量的相位差
更新时间:2010-09-16 10:42:41
来源:|0
浏览
收藏
电气工程师报名、考试、查分时间 免费短信提醒
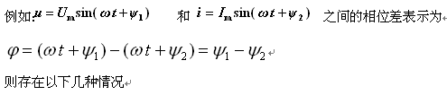
正弦量的相位差
两同频率的正弦量之间的初相位之差。


注意:(1)两同频率的正弦量之间的相位差为常数,与计时的选择起点无关。
(2)不同频率的正弦量比较无意义。
查看更多内容: 电气工程师考试频道 电气工程师课程试听 电气工程师考试论坛
·2010年电气工程师考试网上辅导招生简章!
·2010年电气工程师考试时间9月18、19日
·注册电气工程师执业资格考试内容简介
·权威老师主讲2010年电气工程师辅导课程
编辑推荐
最新资讯
- 2025年电气工程师必须掌握的核心知识点2025-01-03
- 环球网校双11活动来袭,电气工程师超值好课助力备考2023-10-25
- 环球网校双11预售开启!抢百倍膨胀抵扣,超多福利2023-10-25
- 2022注册电气工程师备考资料2022-10-18
- 2022注册电气工程师基础考试资料2022-10-14
- 2022年注册电气工程师专业基础教材变动对比2022-05-11
- 2022年电气工程师专业基础教材变动对比2022-05-11
- 2020年电气工程师考试《发输变电》知识点:熔电器的特点2020-09-21
- 2020年电气工程师考试《发输变电》知识点:动投入装置2020-09-21
- 2020年电气工程师考试《发输变电》知识点:网络与布线2020-09-21