电气工程师辅导资料:有效值、平均值和平均功率
更新时间:2010-09-25 10:41:29
来源:|0
浏览
收藏
电气工程师报名、考试、查分时间 免费短信提醒
有效值
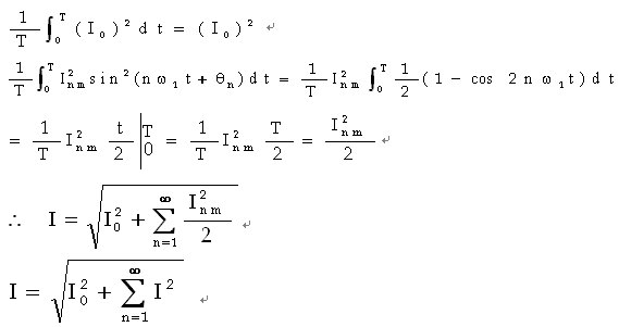
任意周期电流电压均为


由此可见,非正弦周期电流的有效值等于它的直流分量及各谐波分量有效值的平方之和的平方根。

平均功率
1、设二端网络的周期电压、电流为

查看更多内容: 电气工程师考试频道 电气工程师课程试听 电气工程师考试论坛
·2011年电气工程师考试网上辅导招生简章!
·2011年电气工程师考试时间预测为9月17、18日
·注册电气工程师执业资格考试内容简介
·权威老师主讲2011年电气工程师辅导课程
编辑推荐
最新资讯
- 2025年电气工程师必须掌握的核心知识点2025-01-03
- 环球网校双11活动来袭,电气工程师超值好课助力备考2023-10-25
- 环球网校双11预售开启!抢百倍膨胀抵扣,超多福利2023-10-25
- 2022注册电气工程师备考资料2022-10-18
- 2022注册电气工程师基础考试资料2022-10-14
- 2022年注册电气工程师专业基础教材变动对比2022-05-11
- 2022年电气工程师专业基础教材变动对比2022-05-11
- 2020年电气工程师考试《发输变电》知识点:熔电器的特点2020-09-21
- 2020年电气工程师考试《发输变电》知识点:动投入装置2020-09-21
- 2020年电气工程师考试《发输变电》知识点:网络与布线2020-09-21