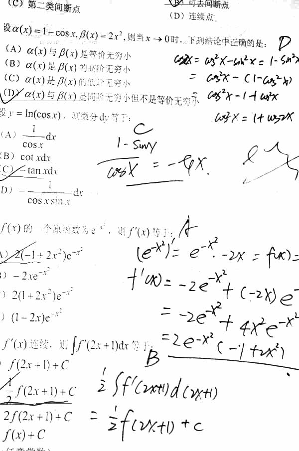
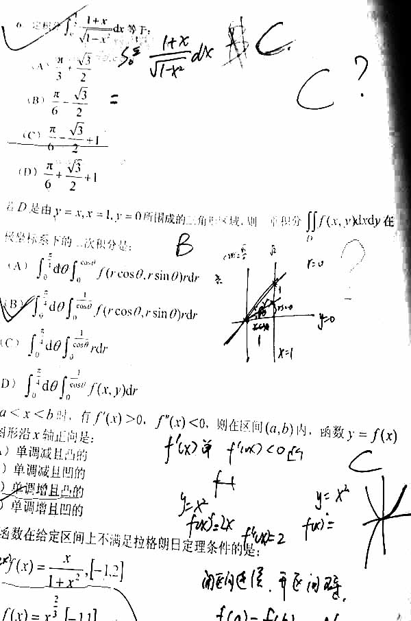
当前位置: 首页 > 电气工程师 > 电气工程师历年试题 > 2012年电气工程师考试基础真题及答案(上)1

2012年电气工程师考试基础真题及答案(上)1

更新时间:2014-08-29 11:15:10 来源:|0 浏览0收藏0

电气工程师报名、考试、查分时间 免费短信提醒

地区

获取验证 立即预约

请填写图片验证码后获取短信验证码

看不清楚,换张图片

免费获取短信验证码

 

 

编辑推荐2014年高端保过套餐

 

          2014电气工程师考试报名

 

          电气工程师准考证打印

 

          2014年精品VIP套餐

 

分享到: 编辑:环球网校

资料下载 精选课程 老师直播 真题练习

电气工程师资格查询

电气工程师历年真题下载 更多

电气工程师每日一练 打卡日历

0
累计打卡
0
打卡人数
去打卡

预计用时3分钟

电气工程师各地入口
环球网校移动课堂APP 直播、听课。职达未来!

安卓版

下载

iPhone版

下载

返回顶部