房地产估价师《房地产估价理论与方法》第七章资料二
第七章 成本法
第二节 房地产价格的构成
下列内容每年都要考,只是考试的题型不同而已。
一般将房地产价格构成划分为以下7大项:①土地取得成本;②开发成本;③管理费用;④销售费用;⑤ 投资利息;⑥销售税费;⑦开发利润。
一、土地取得成本
土地取得成本是指取得房地产开发用地的必要支出。在目前情况下,土地取得成本的构成因取得房地产开发用地的途径不同而不同。取得房地产开发用地的 途径可归纳为以下3类情况:①通过市场购买取得;②通过征收集体土地取得;③通过城市房屋拆迁取得。在实际估价中,应根据估价对象的实际情况选取上述三种途径之一来求取。
(一)、市场购买下的土地取得成本
在完善、成熟的土地市场下,土地取得成本一般是由购买土地的价款和应当由买方(在此为房地产开发商)缴纳的税费构成。这种情况下的土地取得成本主要由下列几项组成:
(1)土地使用权购买价格,一般是采用市场法求取,也可以采用基准地价修正法、成本法求取。
(2)买方应当缴纳的税费,包括契税、印花税、交易手续费等,通常是根据税法及中央和地方政府的有关规定,按照土地使用权购买价格的一定比例来测算。
例如,某宗面积为5000m2的房地产开发用地,市场价格(楼面地价)为800元/m2, 容积率为2, 受让人需按照受让价格的3%缴纳契税等税费,则土地取得成本为:
800×5000×2×(1+3%)=824(万元)
(二)、征收集体土地下的土地取得成本
征收集体土地下的土地取得成本包括征地补偿安置费用、相关税费和土地使用权出让金等土地有偿使用费三个部分。
(1)征地补偿安置费用,也称为征地补偿费用,一般由以下4项费用组成:①土地补偿费,②安置补助费,③地上附着物和青苗的补偿费,④安排被征地农民的社会保障费用。这些费用一般是根据有关规定的标准或者采用市场法求取。
(2)相关税费,一般包括以下4项税费:①征地管理费,②耕地占用税,③耕地开垦费,④新菜地开发建设基金。这些税费一般是依照有关规定的标准求取。
(3)土地使用权出让金等土地有偿使用费,一般是依照有关规定的标准或采用市场法求取。
征收集体土地所发生的必要支出及其标准,详见本章第六节的有关内容。
(三)、城市房屋拆迁下的土地取得成本
城市房屋拆迁下的土地取得成本包括房屋拆迁补偿安置费用、相关费用和土地使用权出让金等土地有偿使用费三部分。
(1)房屋拆迁补偿安置费用,一般由以下5项费用组成:①被拆迁房屋的房地产市场价格,②被拆迁房屋室内自行装饰装修的补偿金额,③搬迁补助费,④安置补助费,⑤拆迁非住宅房屋造成停产停业的补偿费。这些费用一般是采用市场法或根据有关规定的标准求取。
(2)相关费用,一般包括以下4项费用:①房屋拆迁管理费,②房屋拆迁服务费,③房屋拆迁估价费,④房屋拆除和渣土清运费。这些费用一般是依照有关规定的标准或采用市场法求取。
(3)土地使用权出让金等土地有偿使用费,一般是依照有关规定的标准或采用市场法求取。
城市房屋拆迁所发生的必要支出及其标准,详见本章第六节的有关内容。
二、开发成本
开发成本是指在取得的房地产开发用地上进行基础设施建设、房屋建设所必要的直接费用、税金等,主要包括下列几项:
(1)勘察设计和前期工程费。要注意场地平整等费用与前面的土地取得成本的衔接,如果土地取得成本中包含了房屋拆除费(拆除房屋和清运渣土等费用)或者取得的房地产开发用地是“七通一平”等场地平整的熟地,则在此就没有或者只有部分场地平整等费用。
(2)建筑安装工程费,包括建造商品房及附属工程所发生的土建工程费用、安装工程费用、装饰装修工程费用等。附属工程是指房屋周围的围墙、水池、建筑小品、绿化等。要注意避免与下面的基础设施建设费、公共配套设施建设费重复。
(3)基础设施建设费,包括城市规划要求配套的道路、给排水(给水、雨水、污水、中水)、电力、燃气、热力、电信、有线电视等设施的建设费用。如果取得的房地产开发用地是熟地,则基础设施建设费已部分或全部包含在土地取得成本中,在此就只有部分基础设施建设费或者没有基础设施建设费。
(4)公共配套设施建设费,包括城市规划要求配套的教育(如幼儿园)、医疗卫生(如医院)、文化体育(如文化活动中心)、社区服务(如居委会)、市政公用(如公共厕所)等非营业性设施的建设费用。
(5)其他工程费,包括工程监理费、竣工验收费等。
(6)开发期间税费,包括有关税收和地方政府或其有关部门收取的费用,如绿化建设费、人防工程费等。
可以将上述开发成本划分为土地开发成本和建筑物建设成本。其中,开发成 本中本质上应归属于土地价值的基础设施建设费等费用,属于土地开发成本。开发成本减去土地开发成本后的余额,属于建筑物建设成本。公共配套设施建设费等费用视土地市场成熟度、房地产开发用地大小等情况,归入土地开发成本或建筑物建设成本中,或者在两者之间进行合理分摊。
三、管理费用
管理费用是指房地产开发商为组织和管理房地产开发经营活动所必要的费用,包括房地产开发商的人员工资及福利费、办公费、差旅费等,可总结为土地取得成本与开发成本之和的一定比例,例如5%。因此,在估价时管理费用通常可按照土地取得成本与开发成本之和乘以这一比例来测算。
四、销售费用
销售费用也称为销售成本,是指预售未来开发完成的房地产或者销售已经开发完成的房地产所必要的费用,包括广告费、销售资料制作费、样板房或样板间建设费、售楼处建设费、销售人员费用或者销售代理费等。为便于投资利息的测算,销售费用应当区分为销售之前发生的费用和与销售同时发生的费用。广告费、销售资料制作费、样板房或样板间建设费、售楼处建设费一般是在销售之前发生的,销售代理费一般是与销售同时发生的。销售费用通常按照售价乘以一定比例来测算,例如为售价的4% 。
五、投资利息
(一)、投资利息的含义
投资利息与财务费用不完全相同,是指在房地产开发完成或实现销售之前发生的所有必要费用应计算的利息,而不仅是借款的利息和手续费。因此,土地取得成本、开发成本、管理费用和销售费用,无论它们是来自借贷资金还是自有资金,均应计算利息。
(二)、投资利息的计算
计算投资利息具体需要把握下列6个方面
1、应计息的项目
应计息的项目包括取得土地成本、开发成本、管理费用和销售费用。销售税费一般不计利息。(此句话必须记住,不然在计算投资利息时一定出错)。
2、计息周期
计息周期是计算利息的单位时间。计息周期可以是年、半年、季、月等,通常为年。
3、计息期的长短
计算投资利息的一项基础工作是要估算开发期。在成本法中,开发期的起始点一般是取得房地产开发用地的日期,重点是估价对象开发完成的日期,并由于一般是假设估价对象在估价时点时完成,所以开发期的终点一般是估价时点。当估价对象为现房的,一般是假设估价对象在估价时点竣工验收完成。(此句话必须记住,不然在计算投资利息的n值时一定出错)。
每项费用的计息期的起点,是该项费用发生的时点,终点是开发期的终点,一般不考虑预售和延迟销售的情况。另外需要说明的是,有些费用不是集中在一个时点发生,而是分散在一个时期内发生(如在一段时间内持续发生), 但计息时通常将其假设为在所发生的时间段内均匀发生,并具体视为集中发生在该时间段的期中。对发生的时间段的划分一般与计息周期相同。(此句话必须记住,关键是会用,特别是连续投入的情况,往往大家不会n值或者常常出错)。

4、计息方式
计息方式有单利和复利两种。其中,单利是指每期均按原始本金计算利息,即只有本金计算利息,而本金所产生的利息不计算利息。在单利计息下,每期的利息是常数。如果用P表示本金,i表示利率 ,n 表示计息周期数 ,I表示总利息,F表示计息期未的本利和,则有:

复利是指以上一期的利息加上本金为基数计算当期利息的方法。在复利计息下,不仅本金要计算利息,利息也要计算利息,即通常所说的利滚利。
复利的本利和计算公式为 :
F = P (1 + i)n
复利的总利息计算公式为 :
I = P[(1+i)n - 1]
复利本利和计算公式的推导过程见教材表7-1。
上述内容在《房地产开发经营与管理》科目已讲述。
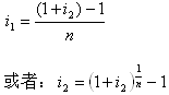
一般在本金相等、计息周期数相同时,如果利率相同,则通常情况下(计息周期数大于1)单利计息的利息少,复利计息的利息多;如果要使单利计息与复利计息两不吃亏,则两者的利率应不同,其中单利的利率应高一些,复利的利率应低一些。假设i1为单利利率 ,i2为复利利率,并令n期末单利计息与复利计息的本利和相等,即:
P(1+i1×n)=P(1+i2)n
可以得出单利计息与复利计息两不吃亏的利率关系如下:
由于通常情况下单利存款(定期)在存款期间不能随意提取,流动性相对较差,因此,实际上的单利利率还应比上述计算出的单利利率高一些。
例如,某银行存款的计息方式采用单利,假设其一年期存款的年利率5%,为吸引3年期的储户,则其3年期存款的单利年利率应大于:
此计算题,曾多年考过。
弄清了单利与复利的关系后,可知单利与复利并没有实质上的区别,只是表达方式上的不同。利息计算本质上都是复利(否则可在每一计息周期结束时将本利一起取出后再存入), 采取单利方式只是为了实际计算上的方便。
5、利率的高低
利率是用百分比表示的单位时间内增加的利息与原金额之比,有单利利率和复利利率两种。选取不同的利率,应采取相对应的计息方式,反过来,采取不同的计息方式,应选取相对应的利率,不能混淆。
6、名义利率和实际利率
在复利计息下,当利率的时间单位与计息周期不一致时,例如,利率的时间单位为一年,而计息周期为半年、季、月、周或天等,就出现了名义利率和实际利率 (也称为有效利率)的概念。假设名义年利率为 r, 一年中计息m次,则每次计息的利率为r/m,至n年末时,在名义利率下的本利和为:
如果每半年计息1次,则 m = 2;每季度计息1次,则m=4;每月计息1次,则m=12。
名义利率与实际利率的关系,还可以通过利率的计算公式得出,即:
例如,年利率为6%, 存款额为1000元,存款期限为1年,如果按一年6%的利率计息1次,按半年3%(6%÷2) 的利率计息2次,按季1.5%(6%÷4)的利率计息4 次,按月0.5%(6%÷12) 的利率计息12 次,则在这4种情况下的本利和分别如下 :
一年计息1次:F=1000×(1+6%)
=1060.00( 元 )
一年计息2次:F=1000×(1+3%)2
=1060.90( 元 )
一年计息4次:F=1000×(1+1.5%)4
=1061.36( 元 )
一年计息12次:F=1000×(1+0.5%)12
=1061.68( 元 )
这里的6%, 对于一年计息1次的情况来说,既是名义年利率又是实际年利 率:对于一年计息2次、4次和1次的情况来说,都是名义年利率,而实际年利率分别为:
一年计息2次 :(1+3%)2-1=6.09%
一年计息4次 :(1+1.5%)4-1=6.14%
一年计息12次 :(1+0.5%)12-1=6.17%
上述计算一定要会,每年都考。
六、销售税费
销售税费是指预售未来开发完成的房地产或者销售已经开发完成的房地产应由卖方(在此为房地产开发商)缴纳的税费,可分为下列两类:
(1)销售税金及附加,包括营业税、城市维护建设税和教育费附加(通常简称为“ 两税一费”) 。
(2)其他销售税费,包括印花税、交易手续费等。
销售税费一般是按照售价的一定比例收取,例如“两税一费”一般为售价的5.5%, 因此,在估价时通常按照售价乘以一定比例来测算。
值得指出的是,这里的销售税费不包括应由买方缴纳的契税等税费,因为评估价值是建立在买卖双方各自缴纳自己应缴纳的交易税费下的价值。为便于实际估价中正常开发利润率的调查、估计,销售税费一般也不包括应由卖方缴纳的土地增值税、企业所得税。因为土地增值税是以纳税人转让房地产取得的增值额为计税依据的,每笔转让房地产取得的增值额都可能不同,从而应缴纳的土地增值税会有所不同。企业所得税是以企业为对象缴纳的,一个企业可能同时有多种业务或者多个房地产开发项目,有的业务或项目可能盈利较多,有的业务或项目可能盈利较少,有的业务或项目甚至亏损,从而不同的企业应缴纳的企业所得税会有所不同。(此段话为重要考点,其关键是“销售税费不包括应由买方缴纳的契税等税费”)。
七、开发利润
开发利润是指房地产开发商(业主)的利润,而不是建筑承包商的利润。建筑承包商的利润已包含在建筑安装工程费等费用中。现实中的开发利润是一种结果,是由销售收入(售价)减去各项成本、费用、税金后的余额。而在成本法中,“售价”是未知的,是需要求取的,开发利润则是典型的房地产开发商进行特定的房地产开发所期望获得的利润,是需要事先估算的,因此,运用成本法估价需要先估算出开发利润。
在估价中,估算开发利润应当掌握下列几点:
(1)为了与销售税费中不包括土地增值税、企业所得税的口径一致,并得到相对客观合理的开发利润,开发利润是土地增值税、企业所得税前的,简称税前利润,即:
开发利润=开发完成后的房地产价值-土地成本-开发成本-管理费-销售费用-投资利息-销售税费
(2)开发利润是该类房地产开发项目在正常条件下房地产开发商所能获得的平均利润,而不是个别房地产开发商最终实际获得的利润,也不是个别房地产开发商所期望获得的利润(此句话是关键的考点)。
(3)开发利润通常按照一定基数乘以相应的利润率来估算。开发利润的计算基数和相应的利润率主要有下列4种:
1)计算基数 = 土地取得成本 + 开发成本,相应的利润率称为直接成本利润率 ,即:

2)计算基数 = 土地取得成本 + 开发成本 + 管理费用十销售费用,相应的利润率称为投资利润率,即:

3)计算基数 = 土地取得成本 + 开发成本 + 管理费用 + 销售费用 + 投资利息 ,相应的利润率称为成本利润率,即:

4)计算基数 = 土地取得成本 + 开发成本 + 管理费用 + 销售费用 + 投资利息 +销售税费+开发利润 = 开发完成后的房地产价值(售价), 相应的利润率称为销售利润率,即:
由于有不同的利润率,所以在估算开发利润时要弄清利润率的内涵,注意计算基数与利润率之间的匹配,即选取不同的利润率,应采用相应的计算基数。或者反过来,采用不同的计算基数,应选取相应的利润率。其中,直接成本利润率最大,其次是投资利润率,再次是成本利润率,销售利润率最小。从理论上讲,同一个房地产开发项目的开发利润,无论是采用哪种计算基数和与之相对应的利润率来估算,所得出的结果都是相同的(此段话为关键考点)。
(4)利润率是通过大量调查、了解同一市场上类似房地产开发项目的利润率得到的。
将上述房地产价格各个构成部分累加得到的一般是房地产的总价。求取房地产的单价还需要将该总价除以商品房总面积(建筑面积或套内建筑面积等), 而不是除以房地产开发项目所有建筑物总面积。
另外,利用上述房地产价格构成并在销售利润率的情况下求取房地产价值时的公式是:

上述内容:记住关键的考点,记住各个公式的形式。
最新资讯
- 2026房地产估价师教材什么时候出2025-11-17
- 2025年备考房地产估价师刷题可以吗?2025-11-07
- 2025年房地产估价师全科备考攻略2025-10-01
- 房地产估价师2025年怎么备考?2025-07-20
- 2025年注册房地产估价师备考经验:如何高效利用零碎时间2025-07-07
- 2025年房地产估价师备考攻略经验2025-06-26
- 2025年房地产估价师考试备考攻略:高效学习方法与实用技巧2025-06-01
- 备考指导:2025年房地产估价师备考顺序安排和考试科目特点2025-05-26
- 2025年房地产估价师考试如何备考?需要了解哪些信息?2025-05-21
- 备考指南:2025年房地产估价师备考顺序是什么2025-05-19