房地产估价师《房地产估价理论与方法》第七章资料五
第七章 成本法
第五节 建筑物折旧的求取
一、建筑物折旧的含义和原因
(一)、建筑物折旧的含义
估价上的折旧与会计上的折旧,虽然都称为折旧并且有一定的相似之处,但两者的内涵不同而有着本质区别。估价上的建筑物折旧是指各种原因造成的建筑物价值损失,其金额为建筑物在估价时点的市场价值与在估价时点的重新购建价格之差,即:
建筑物折旧 = 建筑物重新购建价格 - 建筑物市场价值
建筑物重新购建价格表示建筑物在全新状况下的市场价值,减去建筑物折旧,相当于对其实际上不是全新状况对价值的影响进行相应的减价调整,所得的结果表示建筑物在估价时点状况下的市场价值,即:
建筑物市场价值 = 建筑物重新购建价格 - 建筑物折旧
(二)、建筑物折旧的原因
根据引起建筑物折旧的原因,建筑物折旧可以分为物质折旧、功能折旧和经济折旧三大类。
1. 物质折旧
物质折旧也称为有形损耗,是指建筑物在实体上的老化、磨损、损坏所造成的建筑物价值损失。可以从以下4个方面来进一步认识和把握物质折旧:①自然经过的老化;②正常使用的磨损;③意外破坏的损毁;④延迟维修的损坏残存。
(1)自然经过的老化主要是随着时间的流逝由自然力作用引起的,例如风吹、日晒、雨淋等引起的建筑物腐朽、生锈、风化、基础沉降等,它与建筑物的实际年龄(建筑物从竣工之日起到估价时点止的日历年数)正相关。同时要看建筑物所在地区的气候和环境条件。
(2)正常使用的磨损主要是由人工使用引起的,它与建筑物的使用性质、使用强度和使用年数正相关。例如,居住用途的建筑物的磨损要小于工业用途的建筑物的磨损。工业用途的建筑物又可分为受腐蚀的和不受腐蚀的。受腐蚀的建筑物,由于会受到使用过程中产生的有腐蚀作用的废气、废液等的不良影响,其受损毁的程度要大于不受腐蚀的建筑物。
(3)意外破坏的损毁主要是由突发性的天灾人祸引起的,包括自然方面的,例如地震、水灾、风灾、雷击,人为方面的,例如失火、碰撞等。
(4)延迟维修的损坏残存主要是由于没有适时地采取预防、养护措施或者修理不够及时所引起的,造成建筑物不应有的损坏或提前损坏,或者已有的损坏仍然存在,例如门窗有破损,墙体或地面有裂缝、孔洞等。
2. 功能折旧
功能折旧也称为无形损耗 ,是指建筑物在功能上的缺乏、落后或过剩所造成的建筑物价值损失。导致建筑物功能缺乏、落后或过剩的原因,可能是建筑设计上的缺陷,过去的建筑标准过低,人们的消费观念改变,建筑技术进步,出现了更好的建筑物等等。
(1)功能缺乏是指建筑物没有应该有的某些部件、设备、设施或系统等。例如,住宅没有卫生间、暖气(北方地区)、燃气、电话线路、有线电视等。
(2)功能落后是指建筑物已有的部件、设备、设施或系统等的标准低于正常标准或有缺陷而阻碍其他部件、设备、设施或系统等的正常运营。例如,设备、设施陈旧落后或容量不够,建筑式样过时,空间布局欠佳等。
(3)功能过剩是指建筑物已有的部件、设备、设施或系统等的标准超过市场要求的标准而对房地产价值的贡献小于其成本。例如,某幢厂房的层高为6m, 但当地厂房的标准层高为5m, 则该厂房超高的lm 因不能被市场接受而使其所多花的成本成为无效成本。
3. 经济折旧
经济折旧也称为外部性折旧, 是指建筑物以外的各种不利因素所造成的建筑物价值损失。不利因素可能是经济因素(如市场供给过量或需求不足)、区位因素(如环境改变,包括景观被破坏、自然环境恶化、环境污染、交通拥挤、城市规划改变等), 也可能是其他因素(如政府政策变化、采取宏观调控措施等)。进一步可将经济折旧区分为永久性的和暂时性的。例如,一个高级居住区附近兴建了一座工厂,该居住区的房地产价值下降,就是一种经济折旧。
【例7-4】某套旧住宅,测算其重置价格为40万元,地面、门窗等破旧引起的物质折旧为1万元,因户型设计不好、没有独用厕所和共用电视天线等导致的功能折旧为6万元,由于位于城市衰落地区引起的经济折旧为3万元。求取该套旧住宅的折旧总额和现值。
【解】 该旧住宅的折旧总额求取如下 :
该旧住宅的折旧总额 = 物质折旧 + 功能折旧 + 经济折旧 =1 + 6 + 3 =10(万元)
该旧住宅的现值求取如下 :
该旧住宅的现值 = 重置价格 - 折旧 =40-10 =30(万元)
二、建筑物折旧的求取方法
求取建筑物折旧的方法主要有三种,分别是年限法、市场提取法、分解法。
(一)、年限法
1. 年限法和有关年限的含义
年限法也称为年龄-寿命法, 是根据建筑物的经济寿命、有效年龄或剩余经济寿命来求取建筑物折旧的方法。
建筑物的寿命可分为:自然寿命和经济寿命。建筑物的自然寿命是指从建筑物竣工之日开始,到建筑物的主要结构构件和设备的自然老化或损坏而不能继续保证建筑物安全使用为止的时间。建筑物的经济寿命是指建筑物对房地产价值有贡献的时期。具体是从建筑物竣工之日开始,到建筑物对房地产价值不再有贡献为止的时间。对于收益性房地产来说,建筑物的经济寿命具体是从建筑物竣工之日开始,在正常市场和运营状态下,房地产产生的收入大于运营费用,即净收益大于零的持续时间,参见教材图7-4 所示。
建筑物的经济寿命短于其自然寿命,是由市场决定的,相同类型的建筑物在不同地区的经济寿命也可能不同。经济寿命具体可根据建筑物结构的工程质量、用途和维修养护情况,结合市场状况、周围环境、经营收益状况等进行综合分析判断得出。建筑物在其寿命期间如果经过了翻修、改造等,自然寿命和经济寿命都有可能得到延长。
建筑物的年龄可分为实际年龄和有效年龄。建筑物的实际年龄是指从建筑物竣工之日开始到估价时点为止的日历年数,类似于人的实际年龄。建筑物的有效年龄是指估价时点时的建筑物状况和效用所显示的年龄,类似于人看上去的年龄。
建筑物的有效年龄可能小于也可能等于或大于其实际年龄。实际年龄是估计有效年龄的基础,即有效年龄通常是在实际年龄的基础上进行适当的调整后得到:①当建筑物的维修养护为正常的,其有效年龄与实际年龄相当;②当建筑物的维修养护比正常维修养护好或者经过更新改造的,其有效年龄小于实际年龄;③当建筑物的维修养护比正常维修养护差的,其有效年龄大于实际年龄。
建筑物的剩余寿命是其寿命减去年龄后的寿命,分为剩余自然寿命和剩余经济寿命。建筑物的剩余自然寿命是其自然寿命减去实际年龄后的寿命。建筑物的剩余经济寿命是其经济寿命减去有效年龄后的寿命,即
剩余经济寿命 = 经济寿命 - 有效年龄
因此,如果建筑物的有效年龄比实际年龄小,就会延长建筑物的剩余经济寿命;反之,就会缩短建筑物的剩余经济寿命。建筑物的有效年龄是从估价时点向过去计算的时间,剩余经济寿命是从估价时点开始到建筑物经济寿命结束为止的时间,两者之和等于建筑物的经济寿命。如果建筑物的有效年龄小于实际年龄,就相当于建筑物比其实际竣工之日晚建成。此时,建筑物的经济寿命可视为从这个晚建成之日开始到建筑物对房地产价值不再有贡献为止的时间。
利用年限法求取建筑物的折旧时,建筑物的寿命应为经济寿命,年龄应为有效年龄,剩余寿命应为剩余经济寿命。因为只有这样,求出的建筑物折旧以及求出的建筑物价值,才能符合实际。
2、直线法
年限法中最主要的是直线法。直线法是最简单,也是应用得最普遍的一种折旧求取方法,假设在建筑物的经济寿命期间每年的折旧额相等。直线法的年折旧额计算公式为:

式中:Di -第i年的折旧额,或称做第i年的折旧。在直线法的情况下,每年的折旧额 Di 是一个常数 D 。
C -建筑物的重新购建价格。
S -建筑物的净残值,是建筑物的残值减去清理费用后的余额。建筑物的残值是预计建筑物达到经济寿命后,不宜继续使用时,经拆除后的旧料价值。清理费用是拆除建筑物和搬运废弃物所发生的费用。
N -建筑物的经济寿命。
R -建筑物的净残值率,简称残值率,是建筑物的净残值与其重新购建 价格的比率,即:

另外 ,(C-S)称为折旧基数:年折旧额与重新购建价格的比率称为年折旧率,如果用 d 来表示,即:

式中:V ??建筑物的现值。
【例7-5】某幢平房的建筑面积10Om2, 单位建筑面积的重置价格为500元/m2,,判定其有效年龄为10年,经济寿命为30年,残值率为5% 。请用直线法计算该房屋的年折旧额、折旧总额,并计算其现值。
【解】已知:C=500×100=50000(元);R=5%;N=30 年;t=10 年。

设建筑物的剩余经济寿命为 n, 则有 N = t + n, 现将采用直线法折旧下的计算建筑物现值的各种公式总结见教材图7-3的方框内。
3、成新折扣法
早期运用成本法求取建筑物的现值时,习惯于根据建筑物的建成年代、新旧程度或完损程度等,判定出建筑物的成新率,或者用建筑物的寿命、年龄计算出建筑物的成新率,然后将建筑物的重新购建价格乘以该成新率来直接求取建筑物的现值。这种方法被称为成新折扣法,计算公式为 :
V= C × q
式中 V --建筑物的现值;
C --建筑物的重新购建价格;
q --建筑物的成新率(%) 。
这种成新折扣法比较粗略,主要用于初步估价,或者同时需要对大量建筑物进行估价的情况,尤其是大范围的建筑物现值摸底调查。
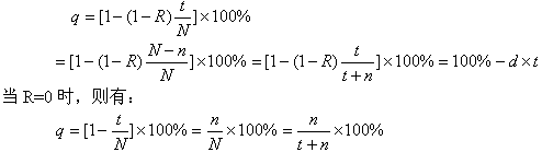
如果利用建筑物的经济寿命、有效年龄或剩余经济寿命来求取建筑物的成新率,则成新折扣法就成了年限法的另一种表现形式。用直线法计算成新率的公式为:

【例7-6】某幢 10 年前建成交付使用的房屋,在此10年间维修养护情况正常,房地产估价师经实地查看判定其剩余经济寿命为30年,残值平为零。请用直线法计算该房屋的成新率。
【解】已知: t=10 年,n =30 年 ,R=0

(二)、市场提取法
市场提取法是利用含有与估价对象中的建筑物具有类似折旧状况的建筑物的可比实例,来求取估价对象中的建筑物折旧的方法。所谓类似折旧状况,是指可比实例中的建筑物的折旧类型(物质折旧、功能折旧、经济折旧)和折旧程度与估价对象中的建筑物的折旧类型和折旧程度相同或者相当。
市场提取法是基于先知道旧的房地价值,然后利用适用于旧的房地的成本法公式反求出建筑物折旧。已知道,适用于旧的房地的成本法公式为:
旧的房地价值 = 土地重新购建价格 + 建筑物重新购建价格 - 建筑物折旧
因此,如果知道了旧的房地价值、土地重新购建价格、建筑物重新购建价格,便可以求出建筑物折旧,即:
建筑物折旧 = 土地重新购建价格 + 建筑物重新购建价格-旧的房地价值 = 建筑物重新购建价格 - (旧的房地价值-土地重新购建价格) = 建筑物重新购建价格 - 建筑物折旧后价值
特别提示:上述内容为2007教材新增加的内容。
市场提取法求取建筑物折旧的步骤和主要内容如下 :
(1)从当地房地产市场上搜集大量的交易实例。
(2)从所搜集的交易实例中选取三个以上的可比实例。要求所选取的可比实例中的建筑物与估价对象中的建筑物具有类似折旧状况。
(3)对每个可比实例的成交价格进行付款方式等有关换算、交易情况修正、房地产状况调整(注意不对其中的折旧状况进行调整), 但不进行市场状况调整。
注意:不对折旧进行调整是因为如果对折旧进行了调整,就提取不出可比实例的折旧了。不进行市场状况调整,是因为市场状况的变化是折旧的一部分,它属于经济折旧的范畴,如果进行了调整,就相当于减少了经济折旧。
(4)求取每个可比实例在其成交日期时的土地重新购建价格,然后将前面换 算、修正和调整后的可比实例成交价格减去土地重新购建价格得出建筑物折旧后价值。
(5)求取每个可比实例在其成交日期时的建筑物重新购建价格,然后将每个可比实例的建筑物重新购建价格减去前面求出的建筑物折旧后价值得出建筑物折旧。
(6)将每个可比实例的建筑物折旧除以建筑物重新购建价格转换为总折旧率。
(7)将估价对象建筑物的重新购建价格乘以总折旧率,或者乘以年平均折旧率再乘以建筑物年龄,便可以得到估价对象建筑物折旧,即:
建筑物折旧 = 建筑物重新购建价格×总折旧率
或者
建筑物折旧 = 建筑物重新购建价格×年平均折旧率×建筑物年龄
特别提示:本部分内容为新增加的内容,应是考试的重点内容。
利用市场提取法求出的年平均折旧率,还可以求取年限法所需要的建筑物经济寿命。在假设建筑物的残值率为零的情况下:
建筑物经济寿命 = 1/平均年折旧率
例如,如果通过市场提取法求出的估价对象建筑物的年平均折旧率为2%, 则可以根据2%的倒数估计估价对象建筑物的经济寿命为50年。
此外,利用总折旧率还可以求出建筑物的成新率:
建筑物成新率 =1 - 总折旧率
(三)、分解法
本部分内容是历年考试的重点,也是计算题的核心内容。
分解法是对建筑物各种类型的折旧分别予以分析和估算,然后将它们加总来求取建筑物折旧的方法。它是求取建筑物折旧最详细、最复杂的一种方法。分解法求取建筑物折旧的途径,参见教材图7-4 。
分解法认为,建筑物各种类型的物质折旧、功能折旧和经济折旧,应根据各自的具体情况分别采用适当的方法来求取。该方法求取建筑物折旧的步骤是:①求取物质折旧。将物质折旧分解为各个项目,分别采用适当的方法求取折旧相加。②求取功能折旧。将功能折旧分解为各个项目,分别采用适当的方法求取折旧后相加。③求取经济折旧。将经济折旧分为不同情况,分别采用适当的方法求取折旧后相加。④求取建筑物的折旧总额。这是将上述求取的所有折旧额相加得到建筑物的折旧总额。
1. 物质折旧的求取方法
物质折旧的求取过程和方法如下:
(1)将物质折旧项目分为可修复项目和不可修复项目两类。修复是指恢复到新的或者相当于新的状况,有的是修理,有的是更换。预计修复所必要的费用小于或者等于修复所能带来的房地产价值增加额的,是可修复的,即:
修复所必要的费用 ≤ 修复后的房地产价值 - 修复前的房地产价值
反之,是不可修复的。
(2)对于可修复项目,估算在估价时点采用最优修复方案使其恢复到新的或者相当于新的状况下所必要的费用作为折旧额。
(3)对于不可修复项目,根据其在估价时点的剩余使用寿命是否短于整体建筑物的剩余经济寿命,分为短寿命项目和长寿命项目两类。短寿命项目是剩余使用寿命短于整体建筑物剩余经济寿命的部件、设备、设施等,它们在建筑物剩余经济寿命期间迟早需要更换,甚至需要更换多次。长寿命项目是剩余使用寿命等于或者长于整体建筑物剩余经济寿命的部件、设备、设施等,它们在建筑物剩余经济寿命期间是不需要更换的。在实际中,短寿命项目与长寿命项目的划分,一般是在其寿命是否短于建筑物经济寿命的基础上作出的,例如,基础、墙体、屋顶、门窗、管网、电梯、空调、卫生设备、装饰装修等的寿命是不同的。
短寿命项目分别根据各自的重新购建价格(通常为市场价格、运输费、安装费等之和)、寿命、年龄或剩余使用寿命,利用年限法计算折旧额。
长寿命项目是合在一起,根据建筑物重新购建价格减去可修复项目的修复费用和各短寿命项目的重新购建价格后的余额、建筑物的经济寿命、有效年龄或剩余经济寿命,利用年限法计算折旧额。
长寿命项目折旧基数 = 建筑物重新购建价格-可修复项目的修复费用- 各短寿命项目的重新购建价格
(4)将可修复项目的修复费用、短寿命项目的折旧额、长寿命项目的折旧额相加,即为物质折旧额。
【例7-7 】某建筑物的重直价格为180万元,经济寿命为50年,有效年龄为10年。其中,门窗等损坏的修复费用为2万元;装饰装修的重置价格为30万元,平均寿命为5年,年龄为3年;设备的重置价格为60万元,平均寿命为15年,年龄为10年。残值率假设均为零。请计算该建筑物的物质折旧额。
【解】该建筑物的物质折旧额计算如下 :
门窗等损坏的修复费用 =2(万元)
装饰装修的折旧额 =30 ×(1/5)× 3 = 18(万元)
设备的折旧额 =60 ×(1/15)× 10 = 40(万元)
长寿命项目的折旧额 =(180-2-30-60) ×(1/50)×10 = 17.6(万元)
该建筑物的物质折旧额 =2 +18+40+17.6=77.6(万元)
2.功能折旧的求取方法
功能折旧的求取过程和方法如下:
(1)将功能折旧分为功能缺乏、功能落后和功能过剩引起的三类,并进一步将它们分为可修复的和不可修复的。
(2)对于可修复的功能缺乏引起的折旧,在采用缺乏该功能的“重建价格”下的求取方法是:①估算在估价时点在估价对象建筑物上单独增加该功能所必要的费用;②估算该功能假设在估价时点重置建造建筑物时就具有所必要的费用;③将在估价时点在估价对象建筑物上单独增加该功能所必要的费用,减去该功能假设在估价时点重置建造建筑物时就具有所必要的费用,即增加该功能所超额的费用为折旧额。
可修复的功能缺乏引起的折旧 = 在估价时点在估价对象建筑物上单独增加该功能所必要的费用-该功能假设在估价时点重置建造建筑物时就具有所必要的费用
【例7-8】某幢应有电梯而没有电梯的办公楼,重建价格为2000万元,现在设电梯需要120万元,假设现在建造办公楼时一同安装电梯只需要100万元。请计算该办公楼因没有电梯引起的折旧及扣除没有电梯引起的折旧后的价值。
【解】该办公楼因没有电梯引起的折旧及扣除没有电梯引起的折旧后的价值计算如下 :
该办公楼因没有电梯引起的折旧 =120-100
=20(万元)
该办公楼扣除没有电梯引起的折旧后的价值 =2000 - 20
=1980(万元)
如果是采用具有该功能的“重置价格”,则减去在估价对象建筑物上单独增加该功能所必要的费用,可直接得到了扣除该功能缺乏引起的折旧后的价值。
【例 7-9】 例 7-8 应有电梯而没有电梯的办公楼,现增设电梯需要120万元,类似有电梯的办公楼的重置价格为2100万元。请计算该办公楼扣除没有电梯引起的折旧后的价值。
【解】该办公楼扣除没有电梯引起的折旧后的价值计算如下:
该办公楼扣除没有电梯引起的折旧后的价值 =2l00-120 =1980(万元)
特别提示:以上两个例题为新增加的内容,必须要会。
对于不可修复的功能缺乏引起的折旧,可以采用下列方法来求取:①利用“租金损失资本化法”求取缺乏该功能导致的未来每年损失租金的现值之和;②估算该功能假设在估价时点重置建造建筑物时就具有所必要的费用;③将未来每年损失租金的现值之和,减去该功能假设在估价时点重置建造建筑物时就具有所必要的费用,即得到折旧额。
例如:某写字楼由于缺少大型多功能设施,使得该写字楼每年净租金损失10万元(或者比同地区类似写字楼每年少收入净租金10万元);经测算如果现在增加该项功能需要各种费用约50万元。假设该写字楼剩余收益期为30年,报酬率Y为10%,求此项折旧。
(1)用收益法计算年租金损失的收益价格;
(2)折旧=收益价格-50万元
此段话请大家一定要注意,要结合收益法的收益价格公式会计算,考试的几率应在90%以上。
(3)对于可修复的功能落后引起的折旧,以电梯落后为例,其折旧额为该功能落后电梯的重置价格,减去该功能落后电梯已提折旧,加上拆除该功能落后电梯所必要的费用,减去该功能落后电梯可回收的残值,加上安装新的功能先进电梯所必要的费用,减去该新的功能先进电梯假设在估价时点重置建造建筑物时一同安装所必要的费用。如果用公式表示为:
可修复功能落后的折旧额 = 功能落后部分的重置价格-功能落部分的已提折旧+ 拆除该功能落后部分的必要的费用- 功能落后部分的可回收的残值+ 安装新的功能部分所必要的费用- 该新的功能先进部分在估价时点重置建造建筑物时一同安装所必要的费用与可修复的功能缺乏引起的折旧额相比,可修复的功能落后引起的折旧额加上了功能落后电梯尚未折旧的价值(即功能落后电梯的重置价格减去已提折旧。 该部分未发挥作用就报废了),减去了功能落后电梯拆除后的净残值(即拆除后可回收的残值减去拆除费用。可挽回的损失), 即多了落后功能的服务期未满而提前报废的损失。
【例7-10】某幢旧办公楼的电梯已落后,如果将该电梯更换为功能先进的新电梯,估计需要拆除费用2万元,可回收残值3万元,安装新电梯需要120万元(包括购买价款、运输费、安装费等), 要比在建造同类办公楼一同安装多花费20万元。估计该旧办公楼的重建价格为2050万元,该旧电梯的重置价格为50万元,已提折旧40万元。请计算该办公楼因电梯落后引起的折旧及扣除电梯落后引起的折旧后的价值。
【解】该办公楼因电梯落后引起的折旧及扣除电梯落后引起的折旧后的价值计算如下:
该办公楼因电梯落后引起的折旧 =(50-40)+(2-3)+20 =29(万元)
该办公楼扣除电梯落后引起的折旧后的价值 =2050-29 =2021(万元)
计算过程分析:
(1)功能落后部分的重置价格=50万元;
(2)已提折旧40万元;
(3)拆除费用2万元;
(4)可回收残值3万元;
(5)安装新电梯需要120万元;
(6)该新的功能先进部分在估价时点重置建造建筑物时一同安装所必要的费用计算:
根据题意:安装新电梯需要120万元,要比在建造同类办公楼一同安装多花费20万元。则该新的功能先进部分在估价时点重置建造建筑物时一同安装所必要的费用=120-20=100万元
则依据上面的公式有:
50-40+2-3+120-100=29万元
对于不可修复的功能落后引起的折旧,仍以电梯落后为例,其折旧额是在上述可修复的功能落后引起的折旧额计算中,将安装新的功能先进电梯所必要的费用,替换为利用“租金损失资本化法”求取的功能落后电梯导致的未来每年损失租金的现值之和。
可修复功能落后的折旧额 = 功能落后部分的重置价格-功能落部分的已提折旧+ 拆除该功能落后部分的必要的费用- 功能落后部分的可回收的残值+ 因不可修复功能落后引起的某一年损失/资本化率- 该新的功能先进部分在估价时点重置建造建筑物时一同安装所必要的费用
(4)功能过剩一般是不可修复的。功能过剩引起的折旧首先应包括功能过剩所造成的“无效成本”。该无效成本可以通过采用重置价格而自动得到消除,但如果采用重建价格则不能消除。以前面讲过的层高过高的厂房为例,因为重置价格将依据5m层高计算,不是依据6m层高来估算。而重建价格仍依据6m层高来估算。其次,无论是采用重置价格还是采用重建价格,功能过剩引起的折旧还应包括功能过剩所造成的“超额持有成本”。超额持有成本可以利用“超额运营费用资本化法” 即功能过剩导致的未来每年超额运营费用的现值之和来求取。这样,在采用重置价格的情况下:
扣除功能过剩引起的折旧后的价值 = 重置价格 - 超额持有成本在采用重建价格的情况下:
扣除功能过剩引起的折旧后的价值 = 重建价格 -(无效成本 + 超额持有成本)
特别提示:(4)部分的关键是如何计算超额持有成本和无效成本。仍然以层高为5米与6米的厂房为例来说明。例如,经测算6米层高的厂房比5米层高的厂房,每年采暖费多支出5万元,空调费每年多支出10万元,照明费多支出2万元;另外已知此类厂房层高每增加10cm,则工程造价增加100元/m2,假设该厂房为1000m2,资本化率为10%,计算超额成本及无效成本。
A、超额成本:(5+10+3)/10%=180万元(计算方法可参见8章内容)
B、无效成本:[(6-5)/0.1)]×100×1000
(5)将功能缺乏引起的折旧额、功能落后引起的折旧额、功能过剩引起的折旧额相加,即为功能折旧额。
3. 经济折旧的求取方法
经济折旧通常是不可修复的,但它可能是暂时性的,例如供给过度的市场,也可能是永久性的,例如周围环境发生了不可逆的改变。因此,求取经济折旧首先应分清它是暂时性的还是永久性的,然后可以根据收益损失的期限不同,利用“收益损失资本化法”求取未来每年因建筑物以外的各种不利因素所损失的收益的现值之和作为经济折旧额。注意:这是成本法与收益法综合题的结合点。
三、求取建筑物折旧应注意的问题
(一)、估价上的折旧与会计上的折旧的区别
估价上的折旧与会计上的折旧区别在于:
(1)估价上的折旧,注重的是市场价值的真实减损,科学地说不是“折旧”,而是“减价修正”;
(2)会计上的折旧注重的是原始价值的分摊、补偿或回收。
(3)在会计上,C为原始价值,是当初购置时的价值,不随时间的变化而变化,在估价上,C为重新购建价格,是估价时点时的价值,估价时点不同,C的值也可能不同。
(4)在会计上,资产原始价值与累计折旧总额的差被称作资产的账面价值,它无须与市场价值一致;
(二)、土地使用期限对建筑物经济寿命的影响
在土地是有期限的使用权下,建筑物经济寿命与土地使用期限可能不是同时结束,因此,在求取建筑物折旧时应注意土地使用期限对建筑物经济寿命的影响。 计算建筑物折旧所采用的建筑物经济寿命遇到下列情况的处理为:
(1)建筑物经济寿命早于土地使用期限结束的,应按照建筑物经济寿命计算建筑物折旧。
(2)建筑物经济寿命晚于土地使用期限结束的,分为在土地使用权出让合同中未约定不可续期和已约定可续期两种情况。
特别提示:上述具体论述的内容请大家一定要仔细阅读,是2007年教材新增加的内容。
最新资讯
- 2026房地产估价师教材什么时候出2025-11-17
- 2025年备考房地产估价师刷题可以吗?2025-11-07
- 2025年房地产估价师全科备考攻略2025-10-01
- 房地产估价师2025年怎么备考?2025-07-20
- 2025年注册房地产估价师备考经验:如何高效利用零碎时间2025-07-07
- 2025年房地产估价师备考攻略经验2025-06-26
- 2025年房地产估价师考试备考攻略:高效学习方法与实用技巧2025-06-01
- 备考指导:2025年房地产估价师备考顺序安排和考试科目特点2025-05-26
- 2025年房地产估价师考试如何备考?需要了解哪些信息?2025-05-21
- 备考指南:2025年房地产估价师备考顺序是什么2025-05-19