房地产估价理论与方法考试模拟练习题精选(35)
1.某企业有一在建工程,于2005年10月1日带抵押债务转让.已知该在建工程占地面积10000┫.土地使用年限为2003年10月1日-2043年9月30日,规划容积率为5.1-4层规划为商业,建筑面积为2万┫;5-20层规划为写字楼,建筑面积为3万┫.项目总开发成本为3000元/┫,管理费用为开发成本的5%项目建成后,商业用于经营.写字楼全部出售.经调查,有关数据如下;
(1)项目2004年6月动工,2005年10月1日已完成了30%的工程量,实际资金投入为总开发成本及管理费用的30%,预计在经过24个月即可完成全部工程。假定费用均匀投入。
(2)该项目所在区域同类型,同档次写字楼的售价为8000元/┫,销售税费为售价的6%,写字楼在建成1年末时售楚。
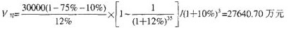
(3)商业主体建成后,还需投入2000元/┫的装修费,装修期为1年,装修均匀投入,预计年经营收入为3亿元,包括税,经营成本等在内的支出为营业收入的75%,合理商业利润为年经营收入的10%。
(4)2004年10月1日该企业办理了在建工程抵押贷款手续,获得了5000万元,年利率为6%,每半年还款一次,5年内等额还款的贷款。在建工程转让时要求受让方承担2005年10月1日以后的剩余债务。
(5)项目折现率为10%,商业物业报酬率为12%。
(6)转让在建工程时,受让方需按受让价格的3%缴纳有关税费。
试计算该在建工程于2005年10月1日带抵押债务转让的合理交易价格。
答案:
1.解答:
(1)项目建成后的价值:
写字楼开发完成后的价值:V写=8000×3/(1+10%)3=18031.56万元
写字楼的销售税费=18031.56×6%=1081.89万元
商业部分开发完成后的价值:
![]()
(2)续建成本:
3000×(1+5%)×(1-30%)/(1+10%)×5=10022.73万元
装修费为:2000×2/(1+10%)2.5=3152万元
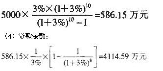
(3)每半年还款额:

(5)转让价:
(18031.56+27640 70-10022.73-3152-1081.89)/(1+3%)-4114.59=26386万元
更多信息请访问:房地产估价师频道 房地产估价师论坛
·2011年房地产估价师考试时间:10月15.16日![]()
·2011房地产估价师网上辅导招生简章
·2011年房地产估价师由黑敬祥等主讲
最新资讯
- 2025年房地产估价师考试终极指南:速领《房地产制度法规政策》考前10页纸,高效通关2025-11-04
- 速下载!2025年房地产估价师《土地估价基础与实务》考前10页纸2025-11-04
- 2025年房地产估价师《房地产估价原理和方法》-考前10页纸免费下载2025-11-04
- 跟练!2025房地产估价师土地估价基础与实务习题每日练2025-03-26
- 2025年房地产估价师土地估价基础与实务练习题目2025-03-25
- 2025年房地产估价师考试题模拟练习2025-03-10
- 2024房地产估价师练习题及答案2024-10-22
- 2024年房地产估价师考试习题:房地产制度法规政策2024-10-09
- 2024年房地产估价师考试习题及答案解析2024-10-09
- 2022年房地产估价师考试题目及答案2022-04-27