2013年房地产估价师《经营与管理》辅导:经济评价指标
一、投资回收与投资回报
投资收益,包括投资回收和投资回报两部分。投资回收:指投资者对其所投入资本的回收,投资回报:指投资者所投入的资本在经营过程中所获得的报酬。
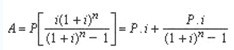
用公式分析,最易理解的是利用等额序列支付的年值与现值之间的关系。已经知道:

上式中的Pi就是投资回报,投资回报率为i,而 
就是投资回收,

是投资者提取折旧的一个方法,即储存基金法。如果
做为年值,则其折算到项目期末的终值正好等于P,反映了一个简单再生产的过程。
投资回收是用提取折旧方式获得,投资回报表现为投资者所获得的或期望获得的收益率或利息率。开发投资:投资回收指所投入的总开发成本的回收,投资回报则为开发商利润。
二、经济评价指标体系
开发投资项目经济评价的目的,是考察项目的盈利能力和清偿能力。
盈利能力指标包括静态指标和动态指标两类。
静态指标:不考虑资金时间价值,直接通过现金流量计算出来的经济评价指标;
动态指标:要对发生在不同时间的收入、费用计算资金的时间价值,将现金流量进行等值化处理后计算评价指标。适用于详细可行性研究阶段的经济评价和计算期较长的投资项目。
清偿能力指标:指考察项目计算期内偿债能力的指标。投资者、金融机构重视项目偿债能力
应该指出的是,由于开发投资项目与置业投资项目的效益费用特点不同,在实际操作中,两种类型投资项目的评价指标体系略有差异。
房地产投资项目经济评价指标体系表6-2

三、通货膨胀的影响
对通胀或通货紧缩程度的预期,影响投资者对未来投资收益的预测和适当收入或收益率的选择。投资者往往提高对名义投资回报率(或收益率)的预期,以补偿购买力的损失。即要提高期望投资回报率以抵消通胀的影响,投资者所希望获得的始终是一个实际的投资回报率。
从理论上来说,全部期望投资回报率应包含所有预期通胀率的影响。预期收益率通常随着对通胀率预测的变化而变化。当折现率不包含对通胀的补偿时,房地产投资收入现金流的折现值才是一个常数。通胀率和收益率经常是同时变动,很难找到一个特定的折现率来准确反映当前的市场状态。投资分析工作的关键是模拟典型投资者对未来市场的预期。
通胀和房地产增值是两回事。通胀导致折现率提高;增值则不影响折现率,除非与物业投资有关的风险因素发生变化。
实际投资分析工作中,考虑到通胀的可能影响,在估计未来收益现金流时,可允许未来年经营收入以及运营成本随着通胀分别有所增加,这样就可消除通胀因素对分析结果准确性的部分影响,使分析结果更加接近真实。若在收益现金流估算过程中没有考虑通胀的影响,则可在选择折现率时适当考虑(适当调低折现率估计)。
编辑推荐:
最新资讯
- 2026房地产估价师教材什么时候出2025-11-17
- 2025年备考房地产估价师刷题可以吗?2025-11-07
- 2025年房地产估价师全科备考攻略2025-10-01
- 房地产估价师2025年怎么备考?2025-07-20
- 2025年注册房地产估价师备考经验:如何高效利用零碎时间2025-07-07
- 2025年房地产估价师备考攻略经验2025-06-26
- 2025年房地产估价师考试备考攻略:高效学习方法与实用技巧2025-06-01
- 备考指导:2025年房地产估价师备考顺序安排和考试科目特点2025-05-26
- 2025年房地产估价师考试如何备考?需要了解哪些信息?2025-05-21
- 备考指南:2025年房地产估价师备考顺序是什么2025-05-19