2006年房地产估价师《经营与管理》真题及答案(完整版)
一、单项选择题(共35小题,每题1分。每题的备选答案中只有一个最符合题意。)
1.投资者进行房地产投资的主要目的一般是( )。
A.获取房地产当期收益
B.获取房地产未来收益
C.直接从事房地产开发经营活动
D.间接参与房地产开发经营活动
2.投资者对房地产内部,使用功能韵变动(例如,在公寓内设置自助洗衣房提供洗衣服务等),体现了投资者对房地产投资( )的重视。
A.各异性
B.适应性
C.相互影响性
D.专业管理依赖性
3.下列关于房地产投资信托基金(REITs)特征的表述中,不正确的是( )。
A.由专业投资管理者负责经营管理
B.收入现金流的重要部分分配给了股东
C.分为权益型和抵押型两种形式
D.投资流动性好
4.假设银行一年期存款利率为2.28%,贷款利率为5.85%,投资市场的平均收益率为12%,房地产投资市场的系统性市场风险系数为0.6,则房地产投资的预期收益率为( )。
A.4.42%
B.8.11%
C.8.13%
D.9.54%
5.下列影响房地产市场运行环境的因素中,属于经济环境的因素是( )。
A.城市或区域产业结构与布局
B.人口数量与结构
C.土地资源状况
D.建筑技术进步
6.反映一定时期内房地产价格变动趋势和程度的相对数为( )。
A.房地产平均价格
B.房地产中位数价格
C.房地产价格指数
D.房地产同质价格
7.随着社会经济的发展,房地产价格总体上呈( )波动的趋势。
A.向下
B.平稳
C.不稳定
D.向上
8.在房地产市场的自然周期中,空置率超过长期平均空置率的阶段为( )阶段。
A.租金增长率上升
B.新增供给小于新增需求
C.新开工项目增加
D.租金增长率下降
9.可将房地产开发划分为若干阶段,其中编制建设工程招标文件属于( )的工作。
A.投资机会选择与决策分析阶段
B.前期工作阶段
C.建设阶段
D.租售阶段
10.房地产开发项目的施工许可证由( )向发证机关申请领取。
A.施工单位
B.建设单位
C.监理单位
D.设计单位
11.某开发商所开发的物业质量与市场领导者的物业质量相近,如果定价比市场领导者的定价低,则其采用的是( )。
A.随行就市定价法
B.价值定价法
C.应战定价法
D.挑战定价法
12.对某种特定商品有兴趣的消费者的集合是( )。
A.服务市场
B.合格有效市场
C.有效市场
D.潜在市场
13.在房地产销售量预测中,引用愈来愈近期的销售量来不断修改平均值,使之更能反映销售量增减趋势和接近实际的预测方法是( )。
A.简单平均法
B.移动平均法
C.加权移动平均法
D.指数平滑法
14.企业同时向几个细分市场销售一种产品时,该企业采用的目标市场选择模式是( )模式。
A.单一市场集中化
B.产品专业化
C.市场专业化
D.全面覆盖
15.银行为某家庭提供年利率为6%、按月等额偿还的10年期个人住房抵押贷款。若每月的还款额为2000元,则该家庭在第5年最后一个月的还款额中的本金额是( )元。
A.1428.74
B.1475.37
C.1482.74
D.2000.00
16.银行为某家庭提供了年利率为6%、按月等比递增偿还、期限为20年的个人住房抵押贷款,若月还款递增率为0.2%,首期偿还额为1600元,则该家庭在第6年最后一个月的还款额是( )元。
A.1843.86
B.1847.55
C.2279.87
D.2291.27
17.某家庭欲购买总价为25万元的一套住宅。该家庭月收入为6000元,准备用月收入的30%来支付抵押贷款月还款额,已知贷款期限为10年,按月等额偿还,年贷款利率为6%。则该家庭的首付款额是( )元。
A.34000.00
B.83265.38
C.87867.78
D.91022.12
18.某家庭申请了25万元10期住房抵押贷款,年利率为6%。该家庭在按月等额偿还4年后于第5年初一次偿还了本金6万元,则从第5年开始该家庭的月还款额减少了( )。
A.994.37
B.1016.81
C.1255.16
D.1387.24
19.下列关于房地产投资分析中成本的表述中,正确的是( )。
A.与财务报表中的成本完全不一样
B.应根据实际发生费用记录来确定
C.与财务报表中的成本一样
D.是对项目未来将要发生的费用的预测和估算
20.某房地产开发项目采用20%的折现率计算出韵项目净现值为16万元,该项目的财务内部收益率( )。
A.小于20%
B.满足目标收益率要求
C.大于20%
D.不满足目标收益率要求
21.某商业店铺的购买价格为60万元,其中40万元为借贷资金,余款由购买者用现金支付。如该店铺进入正常经营期后第一年的税后现金流为24000元、投资者权益增加值为2200元、店铺市场价值增长率为2%,则考虑物业增值时该店铺的投资回报率为( )。
A.7.1%
B.12.0%
C.13.1%
D.19.1%
22.某房地产开发项目的占地面积2万m2,土地总价16000万元,如果房屋开发成本为3000元/m2,预测销售价格为8000元/m2,则该项目实现盈亏平衡的容积率为( )。
A.1.4
B.1.5
C.1.6
D.1.8
23.房地产项目盈亏平衡分析中,不包括( )分析。
A.最低租售价格
B.最低租售数量
C.最低利润水平
D.最高土地取得价格
24.房地产项目风险分析中不能用于风险估计与评价的方法是( )。
A.老师打分法
B.“三项预测值”法
C.解析法
D.蒙特卡洛模拟法
25.对房地产投资项目进行风险分析时,主要是针对可判断其( )的风险因素。
A、变动可能性
B.影响重要性
C.发生经常性
D.类型归属性
26.投资机会研究中的主要内容有地区情况、经济政策、劳动力状况、( )等。
A.规划设计方案
B.投资估算
C.资源条件
D.投资权益
27.在房地产开发项目投资估算中,房屋开发费中不包括( )。
A.建筑安装工程费
B.公共配套设施建设
C.土地费用
D.基础设施建设费
28.下列报表中,不属于房地产开发项目财务报表中基本报表的是( )。
A.资本金现金流量表
B.资金来源与运用表
C.损益表
D.投资计划与资金筹措表
29.房地产开发项目投资估算时,如为委托销售代理的,则代理费应列入( )。
A.管理费
B.销售费用
C.其他费用
D.前期费用
30.现金流量表可以用来进行房地产开发项目的( )分析。
A.财务盈利能力
B.清偿能力
C.资金平衡情况
D.营运能力
31.银行向某家庭发放了一笔月还款额为2000元的个人住房抵押贷款;该家庭所购住房的物业管理费为每月150元。从当前我国商业银行风险管理的角度来看,该家庭的月均收入应不低于( )元。
A.3583
B.3909
C.4300
D.4778
32.银行个人住房贷款业务中发生的“假按揭”属于( )风险。
A.信用
B.管理
C.法律
D.操作
33.新设项目法人的资本金筹措渠道不包括( )资金。
A.政府政策性
B.资产变现
C.企业入股
D.个人入股范围
34.下列费用中,不属于物业管理企业经营费用范围的是( )。
A.保险费
B.房产税
C.法律费
D.贷款利息
35.某收益性物业的潜在毛租金收入为20万元,假设在某报告期内的空置率为20%,所有用户都能按时缴纳租金,物业的其他收入为2万元,则此报告期该物业的有效毛收入为( )万元。
A.16
B.18
C.20
D.22
二、多项选择题(共15小题,每题2分。每题的备选答案中有两个或两个以上符合题意。全部选对的,得2分;错选或多选的,不得分;少选且选择正确的,每个选项得0.5分。)
1.在下列房地产投资行为中,体现房地产置业投资特点的有( )。
A.买地-建房-卖房
B.买房-经营
C.买房-出租-转售
D.买房-出租
E.买地-开发-转让
2.提高贷款利率对房地产市场的影响主要有( )。
A.导致房地产实际价值下降
B.导致房地产实际价值上升
C.加大投资者债务负担
D.抑制房地产市场需求
E.增加房地产市场需求
3.政府对房地产市场进行宏观调控时,可选择的手段主要有( )。
A.加大城市基础设施建设投入
B.调整银行贷款利率
C.调整公共住房政策
D.调整房地产税收政策E.加快城市化进程
4.在对某市房地产市场进行细分时,划分出“某市甲级写字楼租赁市场”。这种划分所采用的市场细分标准有( )。
A.按存量增量细分
B.按交易形式细分
C.按目标市场细分
D.按房地产用途细分
E.按地域细分
5.开发商向城市规划管理部门申请《建设用地规划许可证》时,须提供的材料主要有( )。
A.建设工程规划许可证
B.选址规划意见通知书
C.项目设计方案的总平面图
D.城市计划部门批准征用土地的计划任务
E.1/2000或1/500的地形图
6.按照企业采取某些措施和行动后竞争者的不同反应,可以将竞争者划分为( )。
A.随机型竞争者
B.凶猛型竞争者
C.选择型竞争者
D.从容不迫型竞争者
E.软弱型竞争者7.下列关于基础利率的表述中,正确的有( )。
A.等于银行存款利率
B.等于银行贷款利率
C.是投资者所要求的最低利率
D.是银行同业之间的短期资金借贷利率
E.一般使用无风险的国债收益率作为其代表
8.下列关于资金时间价值的表述中,正确的有( )。
A.资金时间价值是资金的增值特性使然
B.利率是资金时间价值的一种标志
C.从消费者角度来看,资金时间价值体现为放弃即期消费应得到的补偿
D.即使资金存在时间价值,也可以对不同时点上发生的现金流量进行直接比较
E.资金时间价值的大小取决于投资利润率、通货膨胀率、风险因素等
9.房地产开发企业的经营成本主要包括( )。
A.土地转让成本
B.经营管理费用
C.配套设施销售成本
D.商品房销售成本
E.房地产出租经营成本
10.下列经济评价指标中,属于房地产投资项目盈利性指标的有( )。
A.投资回收期
B.借款偿还期
C.利息备付率
D.财务净现值
E.现金报酬率
11.利用概率分析中的期望值法进行投资项目风险分析时,下列表述中正确的有( )。
A.项目净现值期望值大于零,则项目可行
B.净现值标准差能准确说明项目风险的大小
C.净现值标准差越小,项目的相对风险就越小
D.净现值大于等于零时的累积概率越太,项目所承担的风险就越大
E.挣现值期望值相同时,标准差小的方案为优
12.在编制房地产开发项目策划方案时,与项目收益相关的基础参数,通常有( )。
A.基准收益率
B.目标收益率
C.出租率或空置率
D.毛租金收入
E.运营成本
13.房地产开发项目策划的主要工作内容有( )。
A.开发内容和规模的分析与选择
B.评价方案构造
C.区位分析与选择
D.开发时机的分析与选择
E.融资方式的分析与选择
14.对零售商业物业进行分类的主要依据有( )。
A.建筑规模
B.经营商品的特点
C.商业辐射区域的范围
D.周围环境E.服务人口的收入水平
15.下列房地产开发企业融资方式中,属于债务融资方式的有( )。
A.发行企业债券
B.向银行借入信用贷款
C.房地产开发贷款
D.在公开市场上发行股票
E.土地储备贷款
三、判断题(共15小题,每题1分。请根据判断结果,用“√”表衣正确,用“×”表示错误。不答不得分,判断错误扣1分,本题总分最多扣至零分。)
1.基本建设投资、更新改造投资和房地产开发投资均属于固定资产投资。 ( )
2.房地产投资不能有效抵消预期通货膨胀的影响。( )
3.房地产空间市场的供求关系直接决定了房地产租金的水平。 ( )
4,房地产市场上的投资周期领先于自然周期的变化。( )
5.项目财务评价是房地产投资决策分析中最重要的工作,它往往关系到一个项目的成败。 ( )
6.一个整体市场能够细允为若干子市场,主要是由于顾客需求存在着羞异性。( )
7.在现金流量图上。横坐标轴上“0”点所表示的只能是资金运动的时间始点,而不是当前时点。 ( )
8.机会成本和沉没成本不仅运用在投资分析中。也出现在企业财务会计的记录中。( )
9.估算房地产开发项目的总开发价值和总开发成本时,可依据评估时点的价格水平进行估算。( )
10.在房地产开发项目的前期评估阶段,容积率和建筑面积属于不确定性因素。( )
11.房地产投资项目盈亏平衡分析中,临界点分析是分析计算一个或多个风险因素变化而使房地产项目达到利润为零时的极限值,以风险因素的临界值组合来显示项目风险程度。 ( )
12.对房地产开发项目进行独立的财务评价时,资产负债表是必须编制的基本报表。( )
13.功能定位的目的,是为市场提供有较高性能的产品。 ( )
14.债务融资的资金供给方与投资者共同承担投资风险,所希望获得的报酬是项目投资所形成的可分配利润。 ( )
15.收益性房地产投资分析中,抵押贷款还本付息属于经营费用。( )
四、计算题(共2小题,20分。要求列出算式、计算过程;需按公式计算的,要写出公式;仅有计算结果而无计算过程的,不得分。计算结果保留小数点后两位。)
1.某家庭准备以抵押贷款方式购买一套住房。该家庭月总收入7000元,最多能以月总收入的25%支付住房贷款的月还款额。年贷款利率为6%,最长贷款期限20年。最低首付款为房价的30%,若采用按月等额偿还方式,问:
(1)该家庭能购买此房的最高总价是多少?
(2)若第5年末银行贷款利率上调为9%,为保持原月偿还额不变。则该家庭需在第6年初一次性提前偿还贷款多少元?
(3)如果不提前偿还贷款,则需将贷款期限延长多少年?(8分)
2.某房地产开发项目的占地面积为8000m2,土地使用权年期为40年,总建筑面积50000m2,其中服务式公寓35000m2,商务、办公、餐饮、健身娱乐等服务用房5000m2,地下车位230个(10000m2)。项目建设期为3年,总投资额为35000万元(不包括贷款利息),其中自有资金占35%,其余投资来源于贷款和预售收入:第一年投入资金9000万元,全部为自有资金;第二年投入资金13250万元,其中3250万元为自有资金;第三年投入资金12750万元。该项目的住宅与停车位从第二年开始销售,第二、三、四年的净销售收入分别为7750万元、12600万元、21650万元,第四年末全部售完;服务用房在第五年开始出租,出租率为90%,租金为 3000元/m2.年,运营成本为租金收入的20%;服务用房的残值为20万元。
假设:投入全部发生在年初,收入发生在年末且可以全部再投入,贷款按年计复利,本息从第四年初开始偿还;在整个出租期内,出租率、租金、运营成本均维持不变;该项目的贷款年利率为10%、投资者全部投资和自有资金的目标收益率分别为15%和25%。
在贷款利息最少条件下,求:
(1)该项目的借款计划和还款计划。
(2)该项目全部投资内部收益率。
(3)该项目自有资金财务净现值。(12分)
参考答案
一、单项选择题
01.B 02.B 03.C 04.B 05.A
06.C 07.D 08.A 09.B 10.B
11.D 12.D 13.B 14.B 15.C
16.A 17.C 18.A 19.A 20.C
21.C 22.C 23.C 24.B 25.A
26.C 27.C 28.D 29.B 30.A
31.C 32.A 33.B 34.D 35.B
二、多项选择题
1.CD 2.ACD 3.BCD 4.CDB 5.BDE
6.BD 7.ACE 8.ABCE 9.ACDE 10.ADE
11.ABCE 12.BCDE 13.ABCDB 14.ABC 15.BCE
三、判断题
1.√ 2.× 3.√ 4.× 5.√
6.√ 7.× 8.× 9.√ 10.√
11.√ 12.× 13.× 14.× 15.×
四、计算题
1.(1)月还款额=7000×25%=1750元,月利率=6%/12=0.5%
购买住房最高额=(1750/0.5%)×[1-(1/(1+0.5%)240)]/70%=348951.93
(2)月利率=9%/12=0.75%按6%利率计算第6年年初还剩的货款总额=1750/0.5%×[1-(1/(1+0.5%)180)]=207381.15
按9%利率计算月还款1750元相当的货款总额=1750/0.75%×[1-(1/(1+0.5%)180)]=172538.47
则第6年年初需要一次性还款额=207381.15-172538.47=34842.68元
(3)若保持1750的月还款额不变,需要偿还的年限为n
34842.68×(1+0.075%)180 =(1750%/0.75%)×[1-(1/(1+0.75%)12n)]=(1+0.075%)12n=1.7973
当n=7时,1.007584=1.8732
当n=6时,1.007572=1.7125
则n=6+1.7973-1.7125/1.8732-1.7125=6.53年
2.自有资金投入总额=35000×35%=12250万元
第一年初投入9000万元;
第二年初投入13250万元,其中3250万元为自有资金,10000万元贷款;
第二年末收入7750万元,全部与第三年初投入,因此第三年初贷款额=12750-7250= 5500万元;
第三年末收入12600万元,全部与第四年初用于偿还贷款;
第四年末收入21650万元,足以偿还剩余贷款,并有余额;
第五年末开始每年收入3000×90%×5000×(1-20%)=1080万元租金;
第四十年末,最后一年收入租金后,剩余残值20万元。
(1)第四年初偿还贷款时,贷款本息合计10000×(1+10%)2+5000×(1+10%)=17600万元还款12600万元,仍需偿还5000万元。
第五年初偿还剩余贷款5000×(1+10%)=5500万元
因此借款计划为第二年初借款10000万元,第三年初借款5000万元。
还款计划为第四年初偿还12600万元,第五年初偿还剩余5500万元。
(2)制作全部投资现金流量表
|
|
0 |
1 |
2 |
3 |
4 |
5 |
6 |
7 |
… |
40 |
|
+ |
|
|
|
12600 |
21650 |
1080 |
1080 |
1080 |
|
1100 |
|
- |
9000 |
13250 |
5000 |
|
|
|
|
|
|
|
|
NPV |
-9000 |
-13250 |
-5000 |
12600 |
21650 |
1080 |
1080 |
1080 |
|
1100 |
当i1=15%时,
当i2=16%时,
i1NPV2=-398.6448用插值法求的FIRR=15.53%
(3)制作自有资金现金流量表
|
|
0 |
1 |
2 |
3 |
4 |
5 |
6 |
7 |
… |
40 |
|
+ |
|
|
|
12600 |
21650 |
1080 |
1080 |
1080 |
|
1100 |
|
- |
9000 |
3250 |
|
12600 |
5500 |
|
|
|
|
|
|
NPV |
-9000 |
-3250 |
0 |
0 |
16150 |
1080 |
1080 |
1080 |
|
1100 |
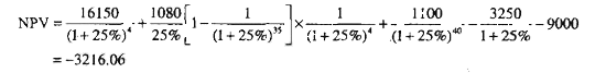
按25%报酬率计算

编辑推荐:
最新资讯
- 2025年房地产估价师四科真题及解析2025-11-13
- 房地产估价师2025年真题及答案更新:四科2025-11-13
- 2025年房地产估价师考试试卷真题及答案(房估实务+土估实务)2025-11-12
- 2025年房地产估价师考试试卷真题答案(4科目全)2025-11-12
- 2025年房地产估价师考试真题与答案解析:各个科目汇总2025-11-12
- 2025年房地产估价师真题答案解析:法规政策2025-11-11
- 2025年房地产估价师考试试卷真题答案解析:房地产估价原理与方法2025-11-11
- 2025房地产估价师真题答案更新:房地产估价基础与实务2025-11-11
- 2025年房地产估价师真题及答案解析:土地估价基础与实务2025-11-11
- 有更新!2025年房地产估价师《房地产估价基础与实务》真题答案解析2025-11-10

