注册结构工程师考试一级基础模拟题二
6. 设ωi是用f(x)的(n ≥1)次Lagrange插值公式近似代替f(x)来计算定积分
的数值求积公式的求积系数,
。则有:

(A)平方收敛 (B)线性收敛
(C)3阶收敛 (D)非局部线性收敛
8.若A为下列何项,则A一定右以分解为A=LLT,其中L为非奇异下三角阵。
(A)对称正定阵 (B)非奇异矩阵
(C)对称阵 (D)按行严格对角占优阵
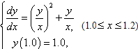
9.设数表
|
x |
0 |
1 |
2 |
3 |
|
P(x) |
1 |
3 |
9 |
19 |
则在节点X=1.2处的数值解为:(A)1.1281 (B) 1.2281 (C) 1.3281 (D) 1.4281
11. 联结三个刚片的铰结点,相当的约束个数为:
(A)2个 (B)3 个 (C)4个 (D)5个
12.叠加原理用于求解静定结构的位移时,需要满足条件是:
(A)位移微小且材料是线弹性的 (B)位移是微小的
(C)应变是微小的 (D)材料是线弹性的
13.作用于静定多跨梁基本部分的荷载在附属部分上
(A)绝对不产生内力 (B)一般不产生内力
(C)一般会产生内力 (D)一定会产生内力
15.图中取A支座反力为力法的基本未知量X1 (向上为正),则X为:
(A)3P/16(B)4P/16(C)5P/16(D)不定,取决于EI值
16.超静定结构在温度变化和支座移动作用下的内力和位移计算中,各杆的刚度应为:
(A)均用相对值(B)均必须用绝对值(C)内力计算用相对值,位移计算用绝对值
(D)内力计算用绝对值,位移计算用相对值
17.图示结构用位移法计算时最少的未知数为:
(A)1(B)2(C)3(D)4
18.图示结构EI为常数,用力矩分配法计算时,这分配系数
为 :

19.单位移动荷载通过一串简支小梁及其结点间接作用于主梁,则主梁影响线在各结点间:
(A)部分为直线,部分为直线 (B)均为曲线(C)均为直线 (D)竖标为零
20.图示体系的自振频率为:
?08年考试规范、标准: 2009年一级结构工程师考试网上远程辅导招生简章!
?09年结构工程师老师辅导,现在报名可赠07、08年课程!
最新资讯
- 2025年二级结构工程师考试都是选择题吗?题型分布与备考策略全解析2025-10-30
- 2025年一级注册结构工程师模拟题终极指南:高效备考冲刺全攻略2025-10-30
- 2025年二级结构工程师专业考试模拟题解析,免费下载!备考冲刺必备资料2025-10-29
- 注册结构工程师模拟考试题2023-04-23
- 一级注册结构工程师模拟题下载2023-04-21
- 一级注册结构工程师模拟题2023-04-20
- 2022年一级注册结构工程师试题2022-04-11
- 2021年注册结构工程师考前复习练习题汇总(含模拟题、历年真题)2021-09-28
- 2021年二级注册结构工程师专业考试冲刺试题及答案(十)2021-09-16
- 2021年二级注册结构工程师专业考试冲刺试题及答案(九)2021-09-15