一级基础科目(二)辅导:静定结构在荷载作用下的位移计算
三、静定结构在荷载作用下的位移计算
(一)位移计算的一般公式―单位荷载法
单位荷载法的理论依据是虚力原理,这时虚功方程(3―2)中的变形状态Δ、C、dθ、du、dη是实际的,而平衡状态中的P、R、N、M、V则是虚设的。
单位荷载法的具体做法是:在结构拟求位移Δ处沿该位移方向施加相应的广义单位力P=1,它与支座反力、内力构成一个虚拟的平衡力系,然后令此平衡力系在结构由荷载产生的实际位移和变形上做虚功,则由虚功方程(3―2)得虚力方程为(设实际的位移状态中,结构无支座位移,即设C=0):
(11-3―3)
式中 ΔiP为结构拟求位移的截面沿该位移方向(i方向)由广义力P产生的广义位移;
Mi、Ni、Vi为由虚设的广义单位力产生的弯矩、轴力、剪力;dθp、dup、dηp为实际状态中杆件微段ds两侧截面的相对转角、相对轴向位移、相对错动,对线弹性结构,dθp、dup、dηp分别为

当Mi、Ni、Vi与相应的Mp、Np、Vp的方向一致时,式(3―4)中相应的各项为正,否则为负。
当按式(3―4)求出的ΔiP为正时,表明ΔiP的方向与施加的单位力同向,否则为反向。
上述单位荷载法也适用于温度变化、支座位移等因素引起的结构位移计算。
(二)位移计算的简化(实用)公式
根据理论分析和实验测定,对比较细长的受弯杆件(杆件截面高度h与杆长l之比<1/5时)来讲,式(3―4)中弯曲变形引起的位移是主要的,而轴向变形、剪切变形对位移的影响较小,一般可忽略不计,于是可得位移的简化计算公式为:

3.曲杆和拱

而对于一般的拱和曲杆,通常只要考虑弯曲变形的影响。
(三)虚拟(设)状态的建立
应用单位荷载法计算静定结构的位移时,虚拟状态的建立要根据拟求广义位移的性质 来确定广义单位力,使虚设广义单位力在拟求广义位移上做功,将拟求的广义位移引入虚 功方程。例如拟求竖向线位移时,可在拟求位移处的竖向施加单位集中力;拟求角位移时,可在拟求位移处施加单位集中力偶;拟求两点之间的相对水平线位移时,可在此两点施加一对大小相等方向相反的水平单位集中力;拟求桁架中杆长为d的某杆的转角时,可在此杆两端垂直于杆轴方向各施加方向相反、数值为1/d的集中力,等等。
?08年考试规范、标准: 2008年一级注册结构工程师考试成绩查询汇总
[例3―1] 求图3―
[解] 虚设状态如图3―1b所示,求出实际状态(图11-3―
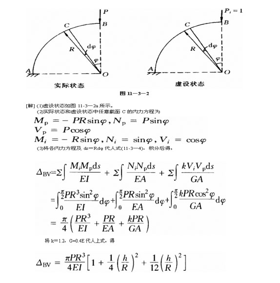
[例3―2] 图11-3―

上式等号右边括号内的第一、第二、第三项分别为弯曲变形、轴向变形、剪切变形对 位移的影响。可见,当h/R较小时,轴向变形、剪切变形对位移的影响相对于弯曲变形对位移的影响甚小,通常可忽略不计。所得结果为正,表示B点竖向位移的实际方向与Pi=1的指向相同。
最新资讯
- 1元速取!2026注册结构工程师知识点集锦课程2026-03-31
- 2025年一级注册结构工程师考前实战试题解析:突破考试瓶颈的终极指南‌2025-10-13
- 2025年一级注册结构工程师常考知识点2025-02-17
- 2025年二级注册结构工程师高频知识点2025-02-17
- 2024年度二级注册结构工程师专业考试资料:规范、标准、规程2024-08-13
- 2024年度一级注册结构工程师专业考试资料:规范、标准、规程2024-08-13
- 环球网校双11预售开启!定金百倍膨胀,直播再返现金2023-10-25
- 环球网校结构工程师双11活动来啦,限时优惠!2023-10-25
- 注册结构工程师考试大纲下载2023-05-16
- 2023年一级注册结构工程师考试大纲内容2023-04-14