一级基础科目(二)辅导:惯性力例题
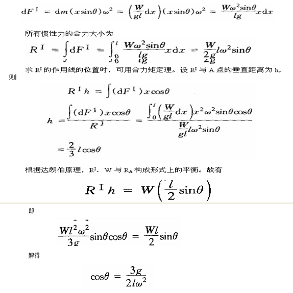
[例4―3―12] 均质细杆AB重W,长l,其一端A铰接于匀速转动铅垂轴上,如图4-3-36所示。设角速度为ω,求相对平衡时杆与铅垂轴所成的角θ。

[解] 以杆AB为研究对象,杆上的作用力有w与RA。当杆随着铅垂轴一起匀速转动时,其惯性力分布于杆上每一部分,组成平行力系如图所示。今先求出惯性力系的合力的大小及其作用线的位置。
在杆上离开A点的距离为x处,取长为dx的一段,其惯性力的大小为 
?08年考试规范、标准: 2008年一级注册结构工程师考试成绩查询汇总
[例4―3―13] 长方形匀质薄板重W,以两根等长的软绳支持如图4―3―37所示。设薄板在图示位无初速地开始运动,图中α=30°。求此时绳子中的拉力。

[解]
(1)对象 以平板的为研究对象。
(2)受力分析 运动开始时板受重力w、软绳约束反力T1、T2。
(3)运动分析并虚加惯性力。
由约束条件知平板作平动,在运动开始时板上各点法向加速度为零,切向加速度垂直于软绳,大小aτ=aA=aB=aC=lτ,ε为软绳的角加速度,于是平板惯性力的合力

[例4―3―14] 质量为m,长为l的直杆AB的一端A焊接于半径为r的水平圆盘边缘上,如图4-3-38(a)所示。令圆盘以角加速度ε绕其中心O转动。求其开始转动时AB杆上焊接处由于转动而引起约束反力。并讨论当圆盘以匀角速ω转动时的情况。

[解] 以直杆AB为研究对象,由于直杆AB随同圆盘一起绕固定点O以角加速度ε转动,杆上所有的惯性力可以简化为一个通O点的力RI,以及一个力偶M0I,其大小分别为:

[例4―3―151 ―质量为M的楔状物置于光滑水平面上,在该物的斜面上又放一质量为m的均质圆柱如图4―3―39a所示。设圆柱与斜面间的摩擦系数为f,求圆柱在斜面上作纯滚动时f应满足何条件?

[解] 欲使圆柱在斜面上作纯滚动,应满足F≤fN,或f≥F/N。为此,需先求出F与N,现用动静法求解。
这是两个自由度问题。设楔状物的加速度为a,圆柱相对于斜面作纯滚动,其角加速度为ε,则根据加速度合成定理,圆柱的质心C的加速度为
ac=a+ar
其中ar=rε
取整体为研究对象,主动力、约束反力和虚加的惯性力、惯性力偶矩如图4―3―39(a)所示。根据动静法,列平衡方程


从本题的求解过程可见,采用动静法解题,可以充分发挥静力学中灵活选取研究对象、巧妙选取矩心和投影轴的优点。
最新资讯
- 1元速取!2026注册结构工程师知识点集锦课程2026-03-31
- 2025年一级注册结构工程师考前实战试题解析:突破考试瓶颈的终极指南‌2025-10-13
- 2025年一级注册结构工程师常考知识点2025-02-17
- 2025年二级注册结构工程师高频知识点2025-02-17
- 2024年度二级注册结构工程师专业考试资料:规范、标准、规程2024-08-13
- 2024年度一级注册结构工程师专业考试资料:规范、标准、规程2024-08-13
- 环球网校双11预售开启!定金百倍膨胀,直播再返现金2023-10-25
- 环球网校结构工程师双11活动来啦,限时优惠!2023-10-25
- 注册结构工程师考试大纲下载2023-05-16
- 2023年一级注册结构工程师考试大纲内容2023-04-14