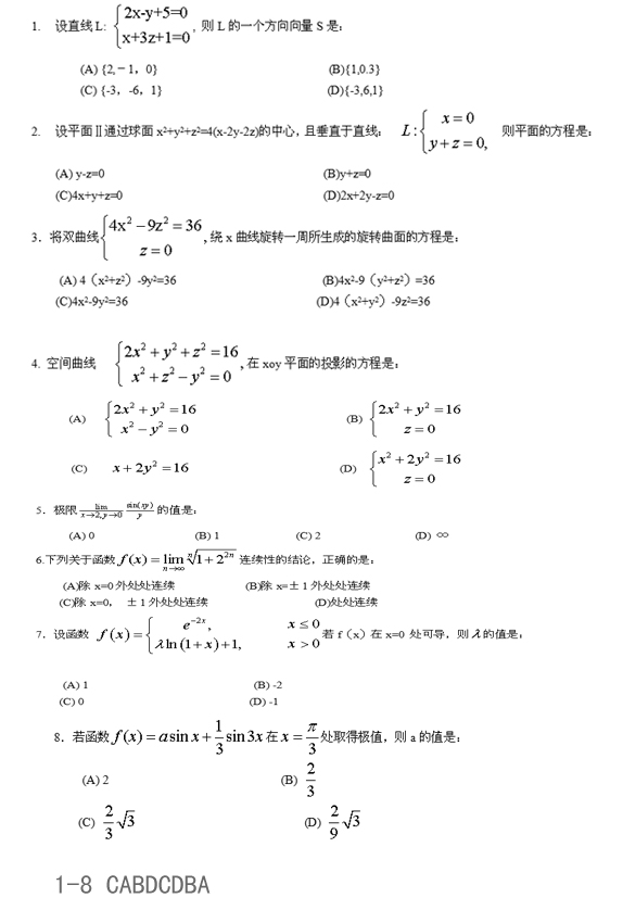
结构工程师考试基础科目一全真试题1
更新时间:2009-10-19 15:27:29
来源:|0
浏览
收藏
结构工程师报名、考试、查分时间 免费短信提醒
编辑推荐
上一篇:2004年注册结构工程师考试真题
最新资讯
- 2025年二级结构工程师真题及答案解析,真题试卷(上午+下午)免费下载2025-11-17
- 2025年二级注册结构工程师考试真题试卷(上午+下午)免费下载2025-11-17
- 2025年二级结构工程师真题试卷(下午)免费下载,核心考点与备考策略2025-11-17
- 2025年二级结构工程师真题试卷(上午)免费下载,真题解析与备考指南2025-11-17
- 2025年一级注册结构工程师专业考试真题(完整版下载)2025-11-13
- 2025注册结构工程师考试真题权威发布!速来下载对答案+高效估分攻略2025-11-07
- 必刷!一级结构工程师基础考试历年真题精析+高频考点突破2025-11-07
- 2025年一级注册结构工程师真题免费下载2025-11-06
- 2025年二级结构工程师考试真题:命题趋势与备考策略2025-11-06
- 2025注册结构工程师基础考试真题解析:高频考点与实战提分指南2025-11-05
