注册结构工程师基础科目考试答疑精选(2)
更新时间:2010-01-22 13:56:39
来源:|0
浏览
收藏
结构工程师报名、考试、查分时间 免费短信提醒
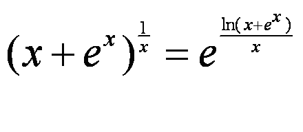
请问lim(x→0)[x+e^x)^1/x怎么求?谢谢!
回答:
这是个1的无穷次极限,用两类极限比较困难。

指数部分,分子分母极限为0,可以用罗比达法则。最后的极限为e的二次方
2010年注册结构工程师考试报名时间信息汇总
结构工程师基础科目(一)考试普通化学练习题汇总
2010年结构工程师辅导招生简章
更多信息请访问:结构工程师频道 结构工程师论坛
编辑推荐
最新资讯
- 2026年一级结构工程师泛滥了吗?预计发布时间与职业前景深度分析2026-01-20
- 2026年结构工程师是干嘛的?预计发布时间与职业前景全解析2026-01-20
- 2026一级注册结构工程师难考吗?预计通过率仅8%-12%,但科学备考可攻克2026-01-19
- 2026结构工程师的工作内容全解析:从蓝图设计到现场指导的全流程指南2026-01-18
- 2026年结构工程师前景及待遇全景展望:持证者年薪可达40万+,三大发展路径2026-01-17
- 2026一级结构工程师有多难?通过率仅8.3%,攻克“工程界珠峰”全攻略2026-01-16
- 2026一级结构工程师好考吗?深度剖析考试难度与通过率2026-01-14
- 2026年二级结构工程师好考吗?深度解析:通过率15%-20%,计算量大是难关2026-01-13
- 2026一级结构工程师含金量有多高?行业“天花板”,持证年薪30-60万!2026-01-12
- 2026一级结构工程师有多难?通过率仅3-5%,如何翻越“工程界珠峰”?2026-01-12