09结构工程师考试(结构力学)备考讲义(9)
更新时间:2010-05-17 14:45:15
来源:|0
浏览
收藏
结构工程师报名、考试、查分时间 免费短信提醒
因平面任意力系是空间任意力系的特殊情况,其向O点简化的主矩可视为垂直于力系作用平面的一个主矩矢,因此上表4-1-5(除力螺旋外)所述亦可适用于平面任意力系。
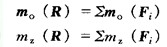
当任意力系合成为一合力R时,则有
![]()
即合力对任一点(或任一轴如z轴)之矩,等于力系中各力对同一点(或同一轴)之矩的矢量和(或代数和),并称之为合力矩定理。对于平面力系,合力矩定理可表示为
![]()
在计算力对坐标轴之矩时,应用合力矩定理,常可使计算简化。这时,可先将原力沿坐标轴分解为三个分力,然后计算各分力对坐标轴之矩。
由于平行力系是任意力系的特殊情况,故任意力系的合成结果也适用于平行力系。
2010年注册结构工程师考试报名时间信息汇总
结构工程师基础科目(一)考试普通化学练习题汇总
2010年结构师考试9月18、19日
更多信息请访问:结构工程师频道 结构工程师论坛
编辑推荐
最新资讯
- 2025年一级注册结构工程师考前实战试题解析:突破考试瓶颈的终极指南‌2025-10-13
- 2025年一级注册结构工程师常考知识点2025-02-17
- 2025年二级注册结构工程师高频知识点2025-02-17
- 2024年度二级注册结构工程师专业考试资料:规范、标准、规程2024-08-13
- 2024年度一级注册结构工程师专业考试资料:规范、标准、规程2024-08-13
- 环球网校双11预售开启!定金百倍膨胀,直播再返现金2023-10-25
- 环球网校结构工程师双11活动来啦,限时优惠!2023-10-25
- 注册结构工程师考试大纲下载2023-05-16
- 2023年一级注册结构工程师考试大纲内容2023-04-14
- 2023年结构工程师教材内容变动对比2023-04-10