2010年结构工程师考试备考:例题(14)
更新时间:2010-06-18 10:29:35
来源:|0
浏览
收藏
结构工程师报名、考试、查分时间 免费短信提醒
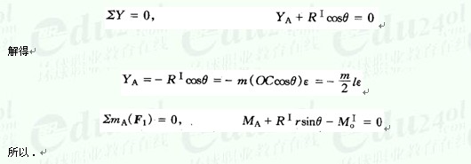
[例4—3—14] 质量为m,长为l的直杆AB的一端A焊接于半径为r的水平圆盘边缘上,如图4-3-38(a)所示。令圆盘以角加速度ε绕其中心O转动。求其开始转动时AB杆上焊接处由于转动而引起约束反力。并讨论当圆盘以匀角速ω转动时的情况。



2010年注册结构工程师考试报名时间信息汇总
结构工程师基础科目(一)考试普通化学练习题汇总
2010年结构师考试9月18、19日
更多信息请访问:结构工程师频道 结构工程师论坛
编辑推荐
最新资讯
- 2025年一级注册结构工程师考前实战试题解析:突破考试瓶颈的终极指南‌2025-10-13
- 2025年一级注册结构工程师常考知识点2025-02-17
- 2025年二级注册结构工程师高频知识点2025-02-17
- 2024年度二级注册结构工程师专业考试资料:规范、标准、规程2024-08-13
- 2024年度一级注册结构工程师专业考试资料:规范、标准、规程2024-08-13
- 环球网校双11预售开启!定金百倍膨胀,直播再返现金2023-10-25
- 环球网校结构工程师双11活动来啦,限时优惠!2023-10-25
- 注册结构工程师考试大纲下载2023-05-16
- 2023年一级注册结构工程师考试大纲内容2023-04-14
- 2023年结构工程师教材内容变动对比2023-04-10