结构工程师备考:轴向拉伸(压缩)杆横截面上的内力
二、 轴向拉伸(压缩)杆横截面上的内力
(一) 内力
由外力作用而引起的构件内部各部分之间的相互作用力
(二)截面法
截面法是求内力的一般方法。用截面法求内力的步骤为
1.截开 在需求内力的截面处,假想地沿该截面将构件截分为二。
2.代替 任取一部分为研究对象,称为脱离体。用内力代替弃去部分对脱离体的作用。
3.平衡 对脱离体列写平衡条件,求解未知内力。截面法的图示如图5-2-2。

(三)轴力
轴向拉压杆横截面上的内力,其作用线必定与杆轴线相重合,称为轴力。以N表示。轴力N规定以拉力为正,压力为负。
(四)轴力图
表示沿杆件轴线各横截面上轴力变化规律的图线。
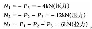
[例5-2-1] 画出图5-2-3中直杆的轴力图。

[解] 用截面1—1、2-2、3-3将杆截开,取脱离体如图所示。各截面的轴力N1、N2、N3均假定为拉力。由静力平衡方程∑X=0分别求得:

其中负号表示轴力为压力。
取坐标系NOx,x轴平行杆轴线,根据各段轴力的大小和正负可绘出轴力图如图示。
分析与讨论:
1.本例中若取截面左部分为脱离体时,则应先计算杆件的未知外力(包括支座反力)。
2.用截面法求轴力时,总是假设截面上的内力为正,这样由平衡条件解得的内力的正负号,就是该截面上内力的实际的正负号。
3.作多个集中外力作用杆的轴力图可采用简易法,其原则是:在集中外力作用的截面上轴力图有突变,突变大小等于集中力的大小,突变方向看集中力对后段杆的作用是拉或压,拉者向上突变,压者向下突变。
2010年注册结构工程师考试报名时间信息汇总
结构工程师基础科目(一)考试普通化学练习题汇总
2010年结构师考试9月18、19日
更多信息请访问:结构工程师频道 结构工程师论坛
最新资讯
- 2025年一级注册结构工程师考前实战试题解析:突破考试瓶颈的终极指南‌2025-10-13
- 2025年一级注册结构工程师常考知识点2025-02-17
- 2025年二级注册结构工程师高频知识点2025-02-17
- 2024年度二级注册结构工程师专业考试资料:规范、标准、规程2024-08-13
- 2024年度一级注册结构工程师专业考试资料:规范、标准、规程2024-08-13
- 环球网校双11预售开启!定金百倍膨胀,直播再返现金2023-10-25
- 环球网校结构工程师双11活动来啦,限时优惠!2023-10-25
- 注册结构工程师考试大纲下载2023-05-16
- 2023年一级注册结构工程师考试大纲内容2023-04-14
- 2023年结构工程师教材内容变动对比2023-04-10