当前位置: 首页 > 结构工程师 > 结构工程师模拟试题 > 2010年注册结构工程师模拟试题精选(17)

2010年注册结构工程师模拟试题精选(17)

更新时间:2010-06-24 09:05:49 来源:|0 浏览1收藏0

结构工程师报名、考试、查分时间 免费短信提醒

地区

获取验证 立即预约

请填写图片验证码后获取短信验证码

看不清楚,换张图片

免费获取短信验证码

  [例5-2-2] 图5-2-7所示钢木组合三角架中,钢杆AB的直径d=28┨,许用应力[σ]1=160MPa,弹性模量E1=2×105MPa;木杆BC的横截面为正方形,边长d=100┨,许用应力[σ] 2=5MPa,弹性模量E2=1×104MPa。A、B、C节点均为铰接, 在节点B处作用一垂直荷载P。

  1.若荷载P=36kN,试校核两杆的强度,并求节点B的位移;

  2.求该结构的许可荷载;

  3.若P等于许可荷载,计算钢杆的直径。

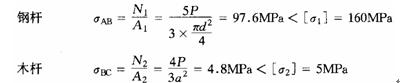
  [解] 1.校核两杆的强度

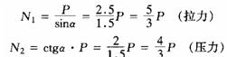
  先求各杆的内力。取节点B为脱离体,如图(b)所示。由平衡条件:

  解得

  两杆横截面上的应力

  所以,两杆均满足强度条件。

  2.求节点B的位移

  应先计算两杆在P力作用下的变形。

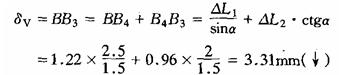
  然后作变形位移图。结构变形后两杆仍应相交在一点,这就是变形的相容条件。因杆AB受拉力而伸长△l1,B点移至新位置B1;因杆CB受压力而缩短△L2,B点移至新位置B2。在小变形条件下,可用切线代替圆弧来确定节点B的新位置。即过B1和B2分别作ABl和AB2的垂线,两垂线的交点B’即为节点B的新位置,如图(c)所示。从图中可看出:

  B点的水平位移为

  B点的垂直位移为

  所以,B点的位移为

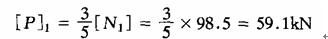
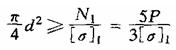
  3.求结构的许可荷载[P]

  由强度条件,钢杆的许可轴力为

  相应的许可荷载为

  同理,木杆的许可轴力为

  相应的许可荷载为

  为了保证两杆都能安全、正常地工作,结构的许可荷载应取上述[P]1、[P]2中的较小值。即

  [P]=[P]2=37.5kN

  4.重新选择钢杆的直径

  当P= [P] =37.5kN时,木杆的工作应力刚好等于许用应力,材料得到充分利用。但钢杆的工作应力比其许用应力小得多,表明它有多余的强度储备,故应重新选择钢杆的直径,使其达到既安全又经济的要求。由强度条件

  得

  于是,选取钢杆直径d=22┨,则钢杆的工作应力比其许用应力大2.8%,在工程上允许范围(±5%)以内。

2010年注册结构工程师考试报名时间信息汇总
 结构工程师基础科目(一)考试普通化学练习题汇总
2010年结构师考试9月18、19日

更多信息请访问
结构工程师频道    结构工程师论坛

分享到: 编辑:环球网校

资料下载 精选课程 老师直播 真题练习

结构工程师资格查询

结构工程师历年真题下载 更多

结构工程师每日一练 打卡日历

0
累计打卡
0
打卡人数
去打卡

预计用时3分钟

结构工程师各地入口
环球网校移动课堂APP 直播、听课。职达未来!

安卓版

下载

iPhone版

下载

返回顶部