2010结构工程师复习资料:剪切虎克定律例题(18)
更新时间:2010-06-24 09:25:31
来源:|0
浏览
收藏
结构工程师报名、考试、查分时间 免费短信提醒
剪切虎克定律
当剪心力不超过材料的剪切比例极限时,剪应力τ与剪应变γ成正比,即
τ=Gγ
式中 G称为材料的剪变模量。
对各向同性材料,E、G、γ间只有二个独立常数
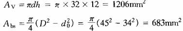
[例5—3—1] 某接头部分的销钉如图5—3—3所示。试计算销钉的剪应力τ和挤压应力σbs。
[解] 首先分析销钉的剪切面和挤压面面积,由图可见,销钉所受轴向拉力P将在钉头内形成一个高度为h=12mm,直径为d=32mm的圆柱形剪切面和一个外直径为D=45mm,内直径为d0=34mm的环形挤压面。于是得

由平衡条件得
V=P=100kN
P=Pbs=100kN
所以,剪应力
![]()
挤压应力
![]()
2010年注册结构工程师考试报名时间信息汇总
结构工程师基础科目(一)考试普通化学练习题汇总
2010年结构师考试9月18、19日
更多信息请访问:结构工程师频道 结构工程师论坛
编辑推荐
最新资讯
- 2025年一级注册结构工程师考前实战试题解析:突破考试瓶颈的终极指南‌2025-10-13
- 2025年一级注册结构工程师常考知识点2025-02-17
- 2025年二级注册结构工程师高频知识点2025-02-17
- 2024年度二级注册结构工程师专业考试资料:规范、标准、规程2024-08-13
- 2024年度一级注册结构工程师专业考试资料:规范、标准、规程2024-08-13
- 环球网校双11预售开启!定金百倍膨胀,直播再返现金2023-10-25
- 环球网校结构工程师双11活动来啦,限时优惠!2023-10-25
- 注册结构工程师考试大纲下载2023-05-16
- 2023年一级注册结构工程师考试大纲内容2023-04-14
- 2023年结构工程师教材内容变动对比2023-04-10