2010年注册结构工程师模拟试题精选(20)
更新时间:2010-06-24 09:37:31
来源:|0
浏览
收藏
结构工程师报名、考试、查分时间 免费短信提醒
[例5-3-3] 图5—3—5所示一托架。已知P=35kN,铆钉的直径d=20mm,铆钉受单剪,求最危险的铆钉截面上剪应力大小及方向。

[解]
1.受力分析
因为P力不通过铆钉群截面形心,所以将力P向铆钉群截面形心简化,得一力
P’=P=35kN
及一力偶
m=P×e=35×225×10-3=7.875kNm
2.由于力P’通过铆钉群形心作用,每个铆钉受力相等,故每个铆钉的剪力为
V’=V’2=V’3=V’4=P/4=35/4kN
3.由于力偶m作用,每个铆钉受力不等,其大小与该铆钉离铆钉群截面形心的垂直距离成正比,力的方向垂直于各铆钉截面形心与钉群形心间的连线。则由

4.上述2、3两项计算中每个铆钉受到的两个力的合力即为每个铆钉的受力,显见铆
钉l、4受力最大

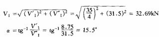
铆钉1的剪应力

方向如图(c)所示。
2010年注册结构工程师考试报名时间信息汇总
结构工程师基础科目(一)考试普通化学练习题汇总
2010年结构师考试9月18、19日
更多信息请访问:结构工程师频道 结构工程师论坛
编辑推荐
最新资讯
- 2025年二级结构工程师考试都是选择题吗?题型分布与备考策略全解析2025-10-30
- 2025年一级注册结构工程师模拟题终极指南:高效备考冲刺全攻略2025-10-30
- 2025年二级结构工程师专业考试模拟题解析,免费下载!备考冲刺必备资料2025-10-29
- 注册结构工程师模拟考试题2023-04-23
- 一级注册结构工程师模拟题下载2023-04-21
- 一级注册结构工程师模拟题2023-04-20
- 2022年一级注册结构工程师试题2022-04-11
- 2021年注册结构工程师考前复习练习题汇总(含模拟题、历年真题)2021-09-28
- 2021年二级注册结构工程师专业考试冲刺试题及答案(十)2021-09-16
- 2021年二级注册结构工程师专业考试冲刺试题及答案(九)2021-09-15