注册结构工程师复习资料:扭转变形能计算
更新时间:2010-06-25 09:15:18
来源:|0
浏览
收藏
结构工程师报名、考试、查分时间 免费短信提醒
一、 扭转变形能计算
等直圆杆,且扭矩为常数时
变形能
![]()
比能
![]()
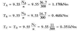
[例5—4—1] 一传动轴如图5-4—5所示。已知轴的直径d=45mm,转速n=300rpm,主动轮输入的功率NA=36.7kW,从动轮B、C、D输出的功率分别为NB=14.7kW、NC=ND=llkW;轴的材料为45号钢,G=8×104MPa,[τ]=40MPa,
[θ]=20/m。试校核轴的强度和刚度。
[解] 1.计算外力偶矩

2.画扭矩图 确定危险截面
用截面1—1、2-2、3-3分别将杆截开,取各脱离体如(b)图示,由平衡条件∑Mx=0,分别得

扭矩图如图(e)所示。由图可见在AC段内的扭矩最大,MT=702Nm,因为轴是等截面的,故A右—C左间任一横截面均为危险截面。
3.强度校核

满足强度条件。
4.刚度校核
![]()
满足刚度条件。
2010年注册结构工程师考试报名时间信息汇总
结构工程师基础科目(一)考试普通化学练习题汇总
2010年结构师考试9月18、19日
更多信息请访问:结构工程师频道 结构工程师论坛
编辑推荐
最新资讯
- 1元速取!2026注册结构工程师知识点集锦课程2026-03-31
- 2025年一级注册结构工程师考前实战试题解析:突破考试瓶颈的终极指南‌2025-10-13
- 2025年一级注册结构工程师常考知识点2025-02-17
- 2025年二级注册结构工程师高频知识点2025-02-17
- 2024年度二级注册结构工程师专业考试资料:规范、标准、规程2024-08-13
- 2024年度一级注册结构工程师专业考试资料:规范、标准、规程2024-08-13
- 环球网校双11预售开启!定金百倍膨胀,直播再返现金2023-10-25
- 环球网校结构工程师双11活动来啦,限时优惠!2023-10-25
- 注册结构工程师考试大纲下载2023-05-16
- 2023年一级注册结构工程师考试大纲内容2023-04-14