注册结构工程师复习资料:卡氏第二定理求位移
更新时间:2010-06-29 09:27:19
来源:|0
浏览
收藏
结构工程师报名、考试、查分时间 免费短信提醒
一、 卡氏第二定理求位移
(一)变形能计算
平面弯曲时的变形能

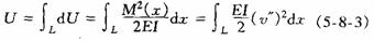
纯弯曲时,弯矩为常量(图5—8—2),则
![]()
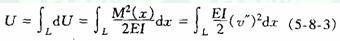
横力弯曲时,弯矩为变量,则
![]()
剪力引起的变形能对杆件通常可忽略不计。
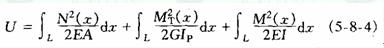
2.杆件组合变形下的变形能
在微小变形情况下,每一基本变形下的内力分量在其他基本变形时并不作功,故组合变形时的弹性变形能等于各基本变形下变形能的总和。设轴力、扭矩、弯矩均为截面位置x的函数则
![]()
几点注意:
(1)式中N(x)、MT(x)、M(x)是杆件在荷载共同作用下截面上的轴力、扭矩、弯矩计算式。
(2)上列各式均仅适用于线弹性材料杆件在小变形条件下的变形能计算。
(3)变形能为内力分量(或变形)的二次函数,故不能应用叠加原理。
广义力与广义位移
广义力 力F可理解为加到结构上的任何作用,或代表一个力,或代表一个力偶,或代表一定变化规律的分布荷载,也可以代表上述各种的任意组合,力P称为广义力。
广义位移 广义位移δ与广义力相乘的积便代表广义力的功。与力相应的位移是线位移;与力偶相应的位移是角位移;与一对力相应的位移为该对力两作用点沿力矢正方向的相对线位移;与一对力偶相应的位移为作用有该对力偶的两平面间沿力偶转向的相对角位移。
2010年注册结构工程师考试报名时间信息汇总
结构工程师基础科目(一)考试普通化学练习题汇总
2010年结构师考试9月18、19日
更多信息请访问:结构工程师频道 结构工程师论坛
编辑推荐
最新资讯
- 1元速取!2026注册结构工程师知识点集锦课程2026-03-31
- 2025年一级注册结构工程师考前实战试题解析:突破考试瓶颈的终极指南‌2025-10-13
- 2025年一级注册结构工程师常考知识点2025-02-17
- 2025年二级注册结构工程师高频知识点2025-02-17
- 2024年度二级注册结构工程师专业考试资料:规范、标准、规程2024-08-13
- 2024年度一级注册结构工程师专业考试资料:规范、标准、规程2024-08-13
- 环球网校双11预售开启!定金百倍膨胀,直播再返现金2023-10-25
- 环球网校结构工程师双11活动来啦,限时优惠!2023-10-25
- 注册结构工程师考试大纲下载2023-05-16
- 2023年一级注册结构工程师考试大纲内容2023-04-14