注册结构工程师辅导:理想气体的温度公式
更新时间:2010-07-05 13:56:53
来源:|0
浏览
收藏
结构工程师报名、考试、查分时间 免费短信提醒
理想气体的温度公式(或能量公式)
比较
得
(2-1-5)
把
代入上式,得到理想气体分子的方均根速率
(2-1-6)
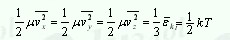
1.式(2-1-5)是宏观量温度T和微观量 的关系,说明分子的平均平动动能与热力学温度成正比。
温度的微观意义:气体的温度是气体分子平均平动动能的量度。
温度是大量分子热运动的集体表现,具有统计意义。对个别的分子讨论它的温度没有意义。
2. 式(2-1-6)指出方均根速率是气体分子作热运动时速率的一种统计平均值。
(四)能量按自由度均分定理
在温度为T的平衡态下:
,
可得![]()
即:分子的每一个平动自由度的平均动能都等于kT / 2。
能量按自由度均分定理:在温度为T的平衡态下,气体分子的任何一个自由度上均分配有 kT/2 的平均动能。
如果气体分子有i个自由度,则每一个分子的总平均动能为
(2-1-7)
一摩尔理想气体的内能为
(2-1-8)
质量为mkg(摩尔质量为Mkg)的理想气体的内能为
(2-1-9)
注意:
1、能量均分定理是分子能量的统计规律,是对大量分子统计平均的结果。对少量分子不适用。
2、理想气体的内能仅与温度有关,是温度T的单值函数。
2010年注册结构工程师考试报名时间信息汇总
结构工程师基础科目(一)考试普通化学练习题汇总
2010年结构师考试9月18、19日
更多信息请访问:结构工程师频道 结构工程师论坛
编辑推荐
最新资讯
- 1元速取!2026注册结构工程师知识点集锦课程2026-03-31
- 2025年一级注册结构工程师考前实战试题解析:突破考试瓶颈的终极指南‌2025-10-13
- 2025年一级注册结构工程师常考知识点2025-02-17
- 2025年二级注册结构工程师高频知识点2025-02-17
- 2024年度二级注册结构工程师专业考试资料:规范、标准、规程2024-08-13
- 2024年度一级注册结构工程师专业考试资料:规范、标准、规程2024-08-13
- 环球网校双11预售开启!定金百倍膨胀,直播再返现金2023-10-25
- 环球网校结构工程师双11活动来啦,限时优惠!2023-10-25
- 注册结构工程师考试大纲下载2023-05-16
- 2023年一级注册结构工程师考试大纲内容2023-04-14