结构工程师辅导:平面简谐行波的表达式
更新时间:2010-07-06 09:59:33
来源:|0
浏览
收藏
结构工程师报名、考试、查分时间 免费短信提醒
(三)平面简谐行波的表达式
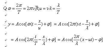
1、沿x轴正向传播的平面简谐行波
设O为波线上振动规律已知的任一点(不一定是波源!),取其为坐标原点。无吸收均匀弹性介质

x—质点在波线上的平衡位置的坐标。
y—质点振动时对平衡位置的位移。
设O点的振动方程为
振动由O→P所需的时间为:![]()
即 t 时刻P点的振动状态是O点在
时的状态,
故 P 点在任一时刻 t 的位移应与 O 点在
时刻的位移相等:
(2-3-5)
即为沿x轴正向传播的平面简谐行波的波动方程。

2、沿x轴负向传播的平面简谐行波

编辑推荐
最新资讯
- 1元速取!2026注册结构工程师知识点集锦课程2026-03-31
- 2025年一级注册结构工程师考前实战试题解析:突破考试瓶颈的终极指南‌2025-10-13
- 2025年一级注册结构工程师常考知识点2025-02-17
- 2025年二级注册结构工程师高频知识点2025-02-17
- 2024年度二级注册结构工程师专业考试资料:规范、标准、规程2024-08-13
- 2024年度一级注册结构工程师专业考试资料:规范、标准、规程2024-08-13
- 环球网校双11预售开启!定金百倍膨胀,直播再返现金2023-10-25
- 环球网校结构工程师双11活动来啦,限时优惠!2023-10-25
- 注册结构工程师考试大纲下载2023-05-16
- 2023年一级注册结构工程师考试大纲内容2023-04-14