注册结构工程师辅导:波的相关练习(6)
更新时间:2010-07-07 09:41:52
来源:|0
浏览
收藏
结构工程师报名、考试、查分时间 免费短信提醒
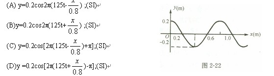
6一平面简谐波沿Z轴正方向传播,波速u= l00m/s, t=0时刻的波形曲线如图2-22所示,则该波的波动方程是:(A)

7.一平面简谐波沿ox轴负向传播, t=0时刻的波形图,如图2-23所示,则P处介质质点的振动方程是:(B)

8一平面余弦波沿Z轴正方向传播,周期为2秒,振幅A=0.lm,波长4m, t=0时刻坐标原点处质点位移为零且向负方向运动,则在t=0.5秒时刻的波形图(图2-24)是:(B)

10.图2-25为一平面简谐波在t时刻的波形曲线若此时D点处媒质质点的振动动能在减小,则:(B)

(A) D点处质元的弹性势能在增大; (B)波沿Z轴正方向传播;
(C) p点处质元的振动动能在增大; (D)各点波的能量密度都不随时间变。
编辑推荐
最新资讯
- 2025年二级结构工程师考试都是选择题吗?题型分布与备考策略全解析2025-10-30
- 2025年一级注册结构工程师模拟题终极指南:高效备考冲刺全攻略2025-10-30
- 2025年二级结构工程师专业考试模拟题解析,免费下载!备考冲刺必备资料2025-10-29
- 注册结构工程师模拟考试题2023-04-23
- 一级注册结构工程师模拟题下载2023-04-21
- 一级注册结构工程师模拟题2023-04-20
- 2022年一级注册结构工程师试题2022-04-11
- 2021年注册结构工程师考前复习练习题汇总(含模拟题、历年真题)2021-09-28
- 2021年二级注册结构工程师专业考试冲刺试题及答案(十)2021-09-16
- 2021年二级注册结构工程师专业考试冲刺试题及答案(九)2021-09-15