注册结构工程师:元流能量方程
四、恒定总流能量方程
(一)元流能量方程
连续性方程属于运动学的范畴,它只给出沿流断面的流速变化规律,完全没有涉及流体受力的情况。下面从功能原理着手推导出元流能量方程,然后推广到总流。功能原理是外力对物体所作的功等于物体机械能(位能和动能)的变化。

在流场中选取一元流,如图6-3-5所示。在元流上取断面1-1和断面2-2,两断面的高程和面积分别为z1、z2和dA1、dA2。两断面的流速和压强分别为u1、u2和p1、p2。以两断面间的元流段为研究对象,在dt时间内由原来的1122位置移动到1'1'2'2'位置,断面1—1和断面2-2分别移动了uldt和u2dt的距离。
在断面1—1所受压力pldAl,所作正功pldAluldt,断面2-2所受压力p2dA2,它与流动方向相反所作的功是负的,等于—p2dA2u2dt。元流侧面所受的压力和元流流向垂直,没有作功。而沿元流侧表面还有和流体方向相反的内摩擦阻力作了负功—dHw,因此外力作功为
![]()
经过dt时间后从位置1122变化到1'1'2'2'位置,在恒定流的条件下1'1'2'2'这段中的流体的能量没有发生变化,所以dt时间内流体能量的变化,也就是新位置2—2'的能量和原位置1—1'的能量两者之差值。
由于流体不可压缩、新旧的位置1—1'、2—2'所占据的体积等于dQdt,质量等于ρdQdt。根据物理学中的公式,动能0.5mu2,位能mgz,所以动能增值为:

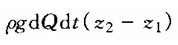
位能的增值为
![]()
按功能原理(1)=(2)+(3),可得:

等式各项除以ρgdQdt,并设

整理后得:

这就是不可压缩流体元流能量方程或称伯努利方程。它反映了恒定流中沿流各点位置高度z,压强p和流速u之间的变化规律。
式(6-3-3)说明元流从一个断面流到另一断面的过程中,各项能量(位能,压能,动能)在一定的条件下是可以互相转化的。但是前一个断面的单位机械能应等于后一个断面的单位总机械能与两断面之间水头损失之和。此方程是能量守恒在流体力学中的特殊表达形式。
2010年注册结构工程师考试报名时间信息汇总
结构工程师基础科目(一)考试普通化学练习题汇总
2010年结构师考试9月18、19日
更多信息请访问:结构工程师频道 结构工程师论坛
最新资讯
- 2025年一级注册结构工程师考前实战试题解析:突破考试瓶颈的终极指南‌2025-10-13
- 2025年一级注册结构工程师常考知识点2025-02-17
- 2025年二级注册结构工程师高频知识点2025-02-17
- 2024年度二级注册结构工程师专业考试资料:规范、标准、规程2024-08-13
- 2024年度一级注册结构工程师专业考试资料:规范、标准、规程2024-08-13
- 环球网校双11预售开启!定金百倍膨胀,直播再返现金2023-10-25
- 环球网校结构工程师双11活动来啦,限时优惠!2023-10-25
- 注册结构工程师考试大纲下载2023-05-16
- 2023年一级注册结构工程师考试大纲内容2023-04-14
- 2023年结构工程师教材内容变动对比2023-04-10