注册结构工程师:渐变流断面上的压强分布
(二)渐变流断面上的压强分布
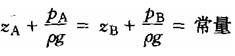
为将元流的能量方程推广到总流,必须引入关于渐变流的概念。在前面二流体运动的分类一段中已介绍:均匀流是同一流线上各质点的流速大小和方向相同,因此不存在惯性力,同一断面各点间的压差主要由重力引起,所以同一断面上的动压强分布规律和静压强分布规律相同
即

式中 下标A、B用以区别同一断面上不同点的相应量如图6-3-6所示。


在渐变流断面n—n上取任意长度为l,断面面积为dA的微小柱体(图6—3—7),分析作用于柱体上的力在n方向的分力。柱体上、下两断面距基准面O-O的高程分别z1和z2,压强p1和p2,柱体重力在n-n方向的分力Gcosα=ρgldAcosα;作用在柱体两端面的压力pldA和p2dA,柱侧面压力垂直于n-n轴,在n-n轴上的投影为零;其黏性力可忽略不计,由此可得:
![]()
由于
![]()
则
![]()
即渐变流中同一边流断面上的压强按静压强的规律分布。
总流的能量方程—伯努利方程

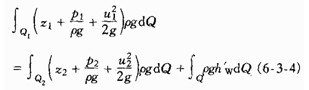
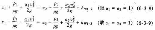
在图6-3-8的总流中,选取两个渐变流断面1-1和断面2-2。总流的能量方程是流能量方程式(6-3-3)在两断面范围内的积分:

由于断面处在渐变流段,z+p/ρg在断面上保持不变,可以提到积分符号外,则两断面的势能积分则可写

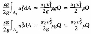
按工程实用的方便需将第三项用断面平均流速来表示。同时考虑实际流体的流速不均匀性,还应增加流速的不均匀系数。值或称动能修正系数。它反映断面上流速分布不均匀程度。通常取α=1.05—1.1,在多数的实际工程的计算中可取α=1.0已能满足精度的要求,于是两断面动能可写成:

式中 α1,α2为断面1-1和断面2-2的动能修正系数。
总流中各元流能量损失也是沿断面变化的。为了计算方便,设hw为平均单位能量损失。则
![]()
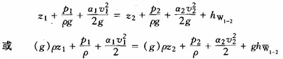
现将以上各式各项积分值代入原积分式(6-3-4)中,各项除以ρgQ,得出单位重量的能量方程:

这就是重力作用下恒定总流能量方程式或称恒定总流伯努利方程式。
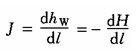
总流能量方程式每一项的能量意义同元流能量方程式相类似。z+p/ρg上表示断面上单位重量流体所具有的势能,av2/2g表示断面上单位重量流体所具有的平均动能,hw1-2表示两断面之间单位重量流体的水头损失。关于能量的几何意义可用图6-3-9表示。能量方程式的各项在工程上习惯用水头来表示。因z称位置水头;p/ρg上称压强水头,所以 v2/2g称流速水头,三水头之和称总水头。在理想流体中总水头线应该是水平线,但在实际流体中有能量损失,因此总水头线总是沿着流体流动方向下降的。如果用H=z+p/ρg+av2/2g表示断面的总水头,其中z+p/ρg称测压管水头,则总水头线沿流程下降的坡度称水力坡度,用J表示,即

式中,l是沿流程的长度,并规定:总水头线沿流程下降时,水力坡度为正值。总水头总是沿流程减小的,即等恒为负值,而水力坡度总是取正值,所以上式右端需加一负号。
由于势能和动能可以互相转化,其测压管水头线的坡度的正负说明测压管水头线沿流程是上升还是下降。
能量方程的应用条件:(1)流动必须是恒定流;(2)流体是不可压缩的;(3)流体受重力作用;(4)所选取的两个计算用的过流断面,必须符合均匀渐变流条件(两计算断面之间的流体可以不是渐变流,见图6-3-8);(5)两断面间没有流量和能量输入或输出。如果有能量的输出(如中间有水轮机或汽轮机)或输入(如中问有水泵或风机),则可以将输入的单位能量项Hl加在式(6-3-5)的左方:

或将输出的单位能量项H0加在式(6-3-5)的右方:

总流的能量方程在应用时需要遵循上述应用条件,另一方面还要灵活掌握。

例如推广到管路分流如图6-3—10所示。流体从总管分送到两个支管即分成两股流体。图中ABC为两股流体的分界面。这两股流体均有一定有的大小,对每一股流体均可应用总流的能量方程。当断面I-1、2-2、3-3处于渐变流时,就可以分别列断面1—1和2 2的能量方程及断面l一1和3—3的能量方程。由于两股流体的流动情境不同,两者的水头损失不同。具体可写成:

2010年注册结构工程师考试报名时间信息汇总
结构工程师基础科目(一)考试普通化学练习题汇总
2010年结构师考试9月18、19日
更多信息请访问:结构工程师频道 结构工程师论坛
最新资讯
- 2025年一级注册结构工程师考前实战试题解析:突破考试瓶颈的终极指南‌2025-10-13
- 2025年一级注册结构工程师常考知识点2025-02-17
- 2025年二级注册结构工程师高频知识点2025-02-17
- 2024年度二级注册结构工程师专业考试资料:规范、标准、规程2024-08-13
- 2024年度一级注册结构工程师专业考试资料:规范、标准、规程2024-08-13
- 环球网校双11预售开启!定金百倍膨胀,直播再返现金2023-10-25
- 环球网校结构工程师双11活动来啦,限时优惠!2023-10-25
- 注册结构工程师考试大纲下载2023-05-16
- 2023年一级注册结构工程师考试大纲内容2023-04-14
- 2023年结构工程师教材内容变动对比2023-04-10