注册结构工程师:文丘里流量计练习题
更新时间:2010-07-21 09:24:41
来源:|0
浏览
收藏
结构工程师报名、考试、查分时间 免费短信提醒
[例6-3-1] 设文丘里流量计中的两管直径dl=100mm,d2=60mm,测得两断面的压强差△h=0.5m水柱,流量系数μ=0.98,流动的液体是水。试求流量。
[解]
[例6-3-2] 水池A和密封水箱B之间用一根长l1=15m,直径d=0.05m的管道连接,并从B水箱中用另一根直径d相同,长l2=30m的输水管流入大气中(图6—3—15)。设管道进口水头损失
,闸门的水头损失
,管道出口水头损失
,管道每m长的水头损失
,不计箱中及池中流速。当恒定出流时,试求管中流量及B水箱中的压强PB?

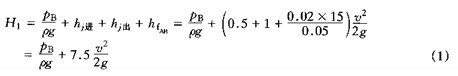
[解] 列出断面A-A和断面B,B的能量方程(基准面取在水箱B的水面上):

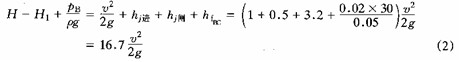
列出断面B-B和断面C-C的能量方程(取基准面通过断面C的中心):

由式(1)、式(2)得
![]()
已知H=12.1m,得
![]()
![]()
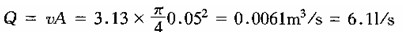
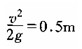
由
![]()
代入式(1)得:
![]()
所以
![]()
2010年注册结构工程师考试报名时间信息汇总
结构工程师基础科目(一)考试普通化学练习题汇总
2010年结构师考试9月18、19日
更多信息请访问:结构工程师频道 结构工程师论坛
编辑推荐
最新资讯
- 2025年二级结构工程师考试都是选择题吗?题型分布与备考策略全解析2025-10-30
- 2025年一级注册结构工程师模拟题终极指南:高效备考冲刺全攻略2025-10-30
- 2025年二级结构工程师专业考试模拟题解析,免费下载!备考冲刺必备资料2025-10-29
- 注册结构工程师模拟考试题2023-04-23
- 一级注册结构工程师模拟题下载2023-04-21
- 一级注册结构工程师模拟题2023-04-20
- 2022年一级注册结构工程师试题2022-04-11
- 2021年注册结构工程师考前复习练习题汇总(含模拟题、历年真题)2021-09-28
- 2021年二级注册结构工程师专业考试冲刺试题及答案(十)2021-09-16
- 2021年二级注册结构工程师专业考试冲刺试题及答案(九)2021-09-15