注册结构工程师辅导:雷诺数
更新时间:2010-07-22 08:47:48
来源:|0
浏览
收藏
结构工程师报名、考试、查分时间 免费短信提醒
(二)层流和紊流的判别数——雷诺数
由于层流和紊流水头损失的规律不同、,在计算水头损失前,必须判别流态。流态的确定除了与流速的大小有关外,还与管径和流体的黏性有关。因此采用综合性的雷诺数Re作为判别流态的无量纲数。
![]()
式中 u、d、ν分别为流速,管径和流体的运动粘性系数。
实验证明,由紊流转变到层流的下临界雷诺数是相当稳定的Re =2300。而从层流变到紊流的上临界雷诺数却与实验环境的扰动的大小有关,自4000~20,000之间变化,所以取Re=2300作为判别的依据。Re≤2300是层流状态。Re >2300是紊流状态。
对于非圆管中的流动,雷诺数计算中特征长度d可以用水力半径R或当量直径d当来代替

式中 A——过流断面面积;
Χ——湿周,指过流断面上与流体相接触的那部分固体边界的长度。
![]()
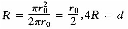
这里,我们是将圆管与非圆管的水力半径相等的圆管直径定义为非圆管的当量直径的。因为对于圆管(满流时)

对于其他形状的断面,若用d当代替d来计算雷诺数,临界值仍是2300;若用R代替d计算雷诺数,临界值变为2300/4=575。
2010年注册结构工程师考试报名时间信息汇总
结构工程师基础科目(一)考试普通化学练习题汇总
2010年结构师考试9月18、19日
更多信息请访问:结构工程师频道 结构工程师论坛
编辑推荐
上一篇:注册结构工程师辅导:雷诺实验
最新资讯
- 2025年一级注册结构工程师考前实战试题解析:突破考试瓶颈的终极指南‌2025-10-13
- 2025年一级注册结构工程师常考知识点2025-02-17
- 2025年二级注册结构工程师高频知识点2025-02-17
- 2024年度二级注册结构工程师专业考试资料:规范、标准、规程2024-08-13
- 2024年度一级注册结构工程师专业考试资料:规范、标准、规程2024-08-13
- 环球网校双11预售开启!定金百倍膨胀,直播再返现金2023-10-25
- 环球网校结构工程师双11活动来啦,限时优惠!2023-10-25
- 注册结构工程师考试大纲下载2023-05-16
- 2023年一级注册结构工程师考试大纲内容2023-04-14
- 2023年结构工程师教材内容变动对比2023-04-10