注册结构工程师:薄壁小孔口恒定出流
第五节 孔口、管嘴出流,有压管道恒定流
一、薄壁小孔口恒定出流
流体经孔口流出称为孔口出流。如图6—5-1。当容器中水位(或压强)不变,孔口的出流量恒定时,称为恒定出流。当容器壁比较薄,或孔口具有锐缘时,孔口的壁厚对出流没有干扰作用,称为薄壁孔口。流体从容器的四面八方流向孔口,流线成光滑曲线向孔口集中,在孔口断面上流线不相平行,继续收缩至距孔口断面d/2(d为孔口直径)处流线才趋于平行,此断面称为收缩断面,即图6-5—1中断面c-c。收缩断面的面积A,小于孔口面积A,其比值ε=Ac/A,称为收缩系数。当孔口断面尺寸远小于作用水头H时,如图形孔口d/H≤0.1,c-c断面上各点流速可以认为相等,此时孔口称为小孔口。
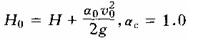
取o—o断面和c—c断面写能量方程,取通过孔口中心的水平面为基准面有:

如图6—5—1所示,孔口液流流入大气,称为自由出流。此时c—c断面压强pc为大气压强。hw为液流经过孔口的局部损失
![]()
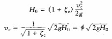
令

则

式中 H0——作用水头(包括流速水头在内);
ζc——孔口局部阻力系数;
φ ——流速系数.
![]()
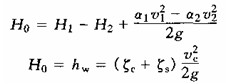
孔口的出流量
![]()
式中 μ=εφ称为孔口的流量系数。经实验测得,圆形小孔口φ=0.97~0.98,μ=0.60~0.62。
孔口在器壁上的位置影响收缩的状况。如孔口的两边或一边同容器的壁或底重合时,顺壁面流向孔口的流线是直线,孔口的这一边就不发生收缩,称为非全部收缩。当孔口的边与相邻器壁相距小于三倍孔口尺寸的,邻壁将影响孔口的收缩,称为非完善收缩。在以上情况下,收缩系数将比完善收缩时增大。薄壁小孔口完善收缩时ε=0.64。
对于d/H>0.1的大孔口,也可近似应用小孔口的公式,此时Ho为大孔口形心上的作用水头。流量系数见表6-5—1。

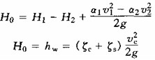
如果孔口位于下游液面以下,即流体经孔口流入同一流体中,称为淹没出流。

如图6-5-2。此时取断面1—1和2-2写能量方程,可得

令

式中 ζc——孔口阻力系数;
ζs——突然扩大阻力系数,ζs≈1.0;

式(6-5-5)与式(6-5-4)形式完全一样,流量系数μ值也相同,只有H0的涵义不同。当容器相当大时,v0≈0和v1≈v2≈0。可以认为H0=H,则自由出流时的作用水头为液面至孔口中心的深度;淹没出流时作用水头为两液面的高差。
2010年注册结构工程师考试报名时间信息汇总
结构工程师基础科目(一)考试普通化学练习题汇总
2010年结构师考试9月18、19日
更多信息请访问:结构工程师频道 结构工程师论坛
最新资讯
- 1元速取!2026注册结构工程师知识点集锦课程2026-03-31
- 2025年一级注册结构工程师考前实战试题解析:突破考试瓶颈的终极指南‌2025-10-13
- 2025年一级注册结构工程师常考知识点2025-02-17
- 2025年二级注册结构工程师高频知识点2025-02-17
- 2024年度二级注册结构工程师专业考试资料:规范、标准、规程2024-08-13
- 2024年度一级注册结构工程师专业考试资料:规范、标准、规程2024-08-13
- 环球网校双11预售开启!定金百倍膨胀,直播再返现金2023-10-25
- 环球网校结构工程师双11活动来啦,限时优惠!2023-10-25
- 注册结构工程师考试大纲下载2023-05-16
- 2023年一级注册结构工程师考试大纲内容2023-04-14