注册结构工程师:明渠恒定均匀流例题(1)
更新时间:2010-07-26 08:50:24
来源:|0
浏览
收藏
结构工程师报名、考试、查分时间 免费短信提醒
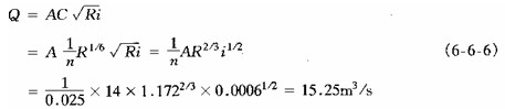
[例6-6-1] 梯形断面渠道,底宽b=3m,边坡系数m=2.0(见图6-6-2),渠道底坡i=0.0006,粗糙系数n=0.025,渠中水流作均匀流,水深为2m,求通过的流量Q。

[解] 对于梯形断面,过水断面面积
![]()
湿周
![]()
水力半径
![]()
用式(6—6—5)

由式(6-6-5)可知,渠道横断面、底坡、粗糙系数一定时,渠中水流看作均匀流,其通过流量与水深为一一对应的关系。而非均匀流则不然,通过同一流量而渠中水深是变化的。明渠均匀流水深与底坡也有密切关系:当流量和渠道其他条件一定时,底坡愈陡均匀流水深愈小。因此在棱柱形顺坡长渠道中,如果底坡有改变,则在改变前后的那段渠道中将发生非均匀流。渠道作均匀流的水深被称为正常水深,用丸。表示;在研究非均匀流各个变化的水深时,正常水深将起参照的作用。
根据式(6-6-5),可以在其他条件已知情况下,求出流量、底坡、水深或底宽。只是求水深或底宽时,由于解方程的困难,通常可用试算方法或查图来确定;例6-6-2是用试算方法的例子。查图则可另行参考其他水力计算手册。
2010年注册结构工程师考试报名时间信息汇总
结构工程师基础科目(一)考试普通化学练习题汇总
2010年结构师考试9月18、19日
更多信息请访问:结构工程师频道 结构工程师论坛
编辑推荐
上一篇:注册结构工程师:恒定流习题(5)
最新资讯
- 2025年二级结构工程师考试都是选择题吗?题型分布与备考策略全解析2025-10-30
- 2025年一级注册结构工程师模拟题终极指南:高效备考冲刺全攻略2025-10-30
- 2025年二级结构工程师专业考试模拟题解析,免费下载!备考冲刺必备资料2025-10-29
- 注册结构工程师模拟考试题2023-04-23
- 一级注册结构工程师模拟题下载2023-04-21
- 一级注册结构工程师模拟题2023-04-20
- 2022年一级注册结构工程师试题2022-04-11
- 2021年注册结构工程师考前复习练习题汇总(含模拟题、历年真题)2021-09-28
- 2021年二级注册结构工程师专业考试冲刺试题及答案(十)2021-09-16
- 2021年二级注册结构工程师专业考试冲刺试题及答案(九)2021-09-15