注册结构工程师辅导:库仑士压力理论
更新时间:2010-08-05 10:24:02
来源:|0
浏览
收藏
结构工程师报名、考试、查分时间 免费短信提醒
(三)库仑士压力理论
库仑土压力理论假设墙后填土是理想的散体(即C=0) ,土体处于极限平衡状态时形 成一滑动模体,滑动面为平面,根据模体的静力平衡条件得出的土压力计算理论。库仑理 论对墙后填土的坡度、墙背的倾斜度以及墙土之间的摩擦等因素不作限制。见图12-5-7 所示。
当墙向前移动时,墙后填土沿着墙背AB及滑动面BC向下滑动,达到主动极限平衡 状态时,取滑动模体ABC作为脱离体建立平衡条件。模体重力W竖直向下;滑动面BC


式中符号意义见图12-5-8所示
EA的作用方向,从图12-5-8所示几何关系得到。令EA与水平面夹角η=δ+α,则 作用在墙背上的主动土压力可分解成水平分力EAx和竖向分力EAy。EA作用点的位置在 墙底以上
处。
EAx=EAcosη EAy = EAsinη (12-5-12)
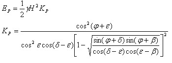
图12-5-9表示库仑被动土压力的概念,挡土墙推压填土达到被动极限平衡状态。滑动土契ABC向上滑动,此时土压力E和反力R的方向与主动情况相反。由此得到被动土压力Ep公式为:

式中Kp为被动土压系数;其余符号见图12~5-9所示。

图12-5-9 库仑被动土压力
当墙背竖直且光滑,填土表面为水平(α=0,δ=0,β=0)时,则库仑公式与朗肯公式相同,所以朗肯土压力可视作库仑的一个特例。
2010年注册结构工程师考试报名时间信息汇总
结构工程师基础科目(一)考试普通化学练习题汇总
2010年结构师考试9月18、19日
更多信息请访问:
![]()
编辑推荐
最新资讯
- 1元速取!2026注册结构工程师知识点集锦课程2026-03-31
- 2025年一级注册结构工程师考前实战试题解析:突破考试瓶颈的终极指南‌2025-10-13
- 2025年一级注册结构工程师常考知识点2025-02-17
- 2025年二级注册结构工程师高频知识点2025-02-17
- 2024年度二级注册结构工程师专业考试资料:规范、标准、规程2024-08-13
- 2024年度一级注册结构工程师专业考试资料:规范、标准、规程2024-08-13
- 环球网校双11预售开启!定金百倍膨胀,直播再返现金2023-10-25
- 环球网校结构工程师双11活动来啦,限时优惠!2023-10-25
- 注册结构工程师考试大纲下载2023-05-16
- 2023年一级注册结构工程师考试大纲内容2023-04-14