结构工程师-结构动力试验知识点3
更新时间:2010-09-29 13:05:03
来源:|0
浏览
收藏
结构工程师报名、考试、查分时间 免费短信提醒
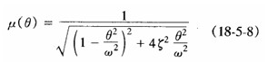
(2)强迫振动法
由单自由度有阻尼强迫振动运动方程可以得到动力系数(放大系数)μ(θ)为

如以μ(θ)为纵坐标,以θ为横坐标,即可画出动力系数(共振曲线)的曲线,见图18—5—5所示。

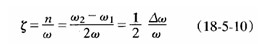
按照结构动力学原理,用半功率法(0.707法)可以由共振曲线确定结构阻尼比ξ。
在共振曲线图的纵坐标上取 值,即0.707μ(θ)处作一水平线,使之与共振曲线相交于A、B两点,对应于A、B两点在横坐标上得ωl,ω2,即可求得衰减系数和阻尼比:
衰减系数
![]()
结构的阻尼比
![]()
2010结构工程师考试成绩查询汇总 2010年结构工程师考后交流正热
2011结构工程师考试辅导招生简章 2011年度结构工程师考试时间预测
编辑推荐
上一篇:结构工程师-结构动力试验知识点2
下一篇:结构工程师-结构动力试验知识点4
最新资讯
- 2025年一级注册结构工程师考前实战试题解析:突破考试瓶颈的终极指南‌2025-10-13
- 2025年一级注册结构工程师常考知识点2025-02-17
- 2025年二级注册结构工程师高频知识点2025-02-17
- 2024年度二级注册结构工程师专业考试资料:规范、标准、规程2024-08-13
- 2024年度一级注册结构工程师专业考试资料:规范、标准、规程2024-08-13
- 环球网校双11预售开启!定金百倍膨胀,直播再返现金2023-10-25
- 环球网校结构工程师双11活动来啦,限时优惠!2023-10-25
- 注册结构工程师考试大纲下载2023-05-16
- 2023年一级注册结构工程师考试大纲内容2023-04-14
- 2023年结构工程师教材内容变动对比2023-04-10