结构工程师-结构非破损检测技术辅导(7)
更新时间:2010-10-11 09:29:07
来源:|0
浏览
收藏
结构工程师报名、考试、查分时间 免费短信提醒
(六)超声法检测混凝土缺陷
超声波检测混凝土缺陷主要是采用低频超声仪,测量超声脉冲中纵波在结构混凝土中的传播速度、首波幅度和接收信号主频率等声学参数。当结构混凝土中存在缺陷或损伤时,超声脉冲通过缺陷时产生绕射,传播的声速要比相同材质无缺陷混凝土的传播声速要小,声时偏长。更由于在缺陷界面上产生反射,因而能量显著衰减,波幅和频率明显降低,接收信号的波形平缓甚至发生畸变。综合声速、波幅和频率等参数的相对变化,对同条件下的混凝土进行比较,判断和评定混凝土的缺陷和损伤情况。
1.混凝土裂缝深度检测
(1)单面平测法
当结构的裂缝部位只有一个可测表面,估计裂缝深度又不大于500mm时,可采用单面平测法。平测时应在裂缝被测部位,以不同测距按跨缝和不跨缝布置测点(布点时应避开钢筋的影响)进行检测。如图18—6—8(a)。

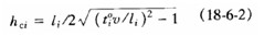
平测法检测裂缝深度按下式计算:
![]()
式中 hci——第i点计算的裂缝深度(┨);
li—不跨缝平测时第i点的超声波实际传播距离(┨);
—第i点跨缝平测的声时值(μs);
v——不跨缝平测的混凝土声速值(km/s)。
这时不跨缝平测的混凝土声速值可由不跨缝平测“时—距”坐标图(图18—6—8(b))
求得.
![]()
式中 l’n,l’1—第n点和第1点的测距(┨);
tn、tl——第n点和第1点的声速值(μs)。
2010结构工程师考试成绩查询汇总 2010年结构工程师考后交流正热
2011结构工程师考试辅导招生简章 2011年度结构工程师考试时间预测
编辑推荐
最新资讯
- 2025年一级注册结构工程师考前实战试题解析:突破考试瓶颈的终极指南‌2025-10-13
- 2025年一级注册结构工程师常考知识点2025-02-17
- 2025年二级注册结构工程师高频知识点2025-02-17
- 2024年度二级注册结构工程师专业考试资料:规范、标准、规程2024-08-13
- 2024年度一级注册结构工程师专业考试资料:规范、标准、规程2024-08-13
- 环球网校双11预售开启!定金百倍膨胀,直播再返现金2023-10-25
- 环球网校结构工程师双11活动来啦,限时优惠!2023-10-25
- 注册结构工程师考试大纲下载2023-05-16
- 2023年一级注册结构工程师考试大纲内容2023-04-14
- 2023年结构工程师教材内容变动对比2023-04-10