结构工程师-结构模型试验知识点解析5
更新时间:2010-10-14 15:29:07
来源:|0
浏览
收藏
结构工程师报名、考试、查分时间 免费短信提醒
(2) 定理
定理可以表述为:如果一个物理现象可由n个物理量构成的物理方程描述,n个物理量中有k个独立的物理量,即有k个基本物理量,则该物理现象也可以用这些量纲组成的(n—k)个无量纲群的关系式来描述,这些无量纲群可以作为该物理现象的相似判据。

各物理量的量纲为

把式(18—7—26)代人式(18—7—25)得

上式中c,d是不确定的指数,将
都看作为一个量,则它们之间的关系式可写成
![]()

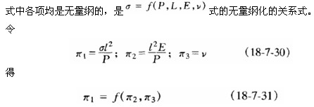
这就是弹性结构几何非线性静力问题的判据方程,式中
为相似判据,设计模型时应满足相似条件

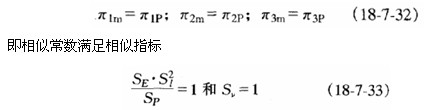
这说明各相似常数不能任意取,应满足上面相似指标的要求。若模型与原型相似则由 1m~ 1P可求得应力相似常数

2010结构工程师考试成绩查询汇总 2010年结构工程师考后交流正热
2011结构工程师考试辅导招生简章 2011年度结构工程师考试时间预测
编辑推荐
最新资讯
- 2025年一级注册结构工程师考前实战试题解析:突破考试瓶颈的终极指南‌2025-10-13
- 2025年一级注册结构工程师常考知识点2025-02-17
- 2025年二级注册结构工程师高频知识点2025-02-17
- 2024年度二级注册结构工程师专业考试资料:规范、标准、规程2024-08-13
- 2024年度一级注册结构工程师专业考试资料:规范、标准、规程2024-08-13
- 环球网校双11预售开启!定金百倍膨胀,直播再返现金2023-10-25
- 环球网校结构工程师双11活动来啦,限时优惠!2023-10-25
- 注册结构工程师考试大纲下载2023-05-16
- 2023年一级注册结构工程师考试大纲内容2023-04-14
- 2023年结构工程师教材内容变动对比2023-04-10